🇳🇴 🇬🇧 🇩🇪 🇨🇿 🇫🇮

Meteor, poloha: Odda 2021-08-08 22:38:32 UTC

Soubor KML

Mapa zobrazuje dráhy meteoru. Světlejší čáry ukazují směry od pozorovacích stanic při objevení se meteoru a tmavší čáry, kde byl naposledy viděn. Modrá šipka značí viditelnou dráhu meteoru.

static map
height profile
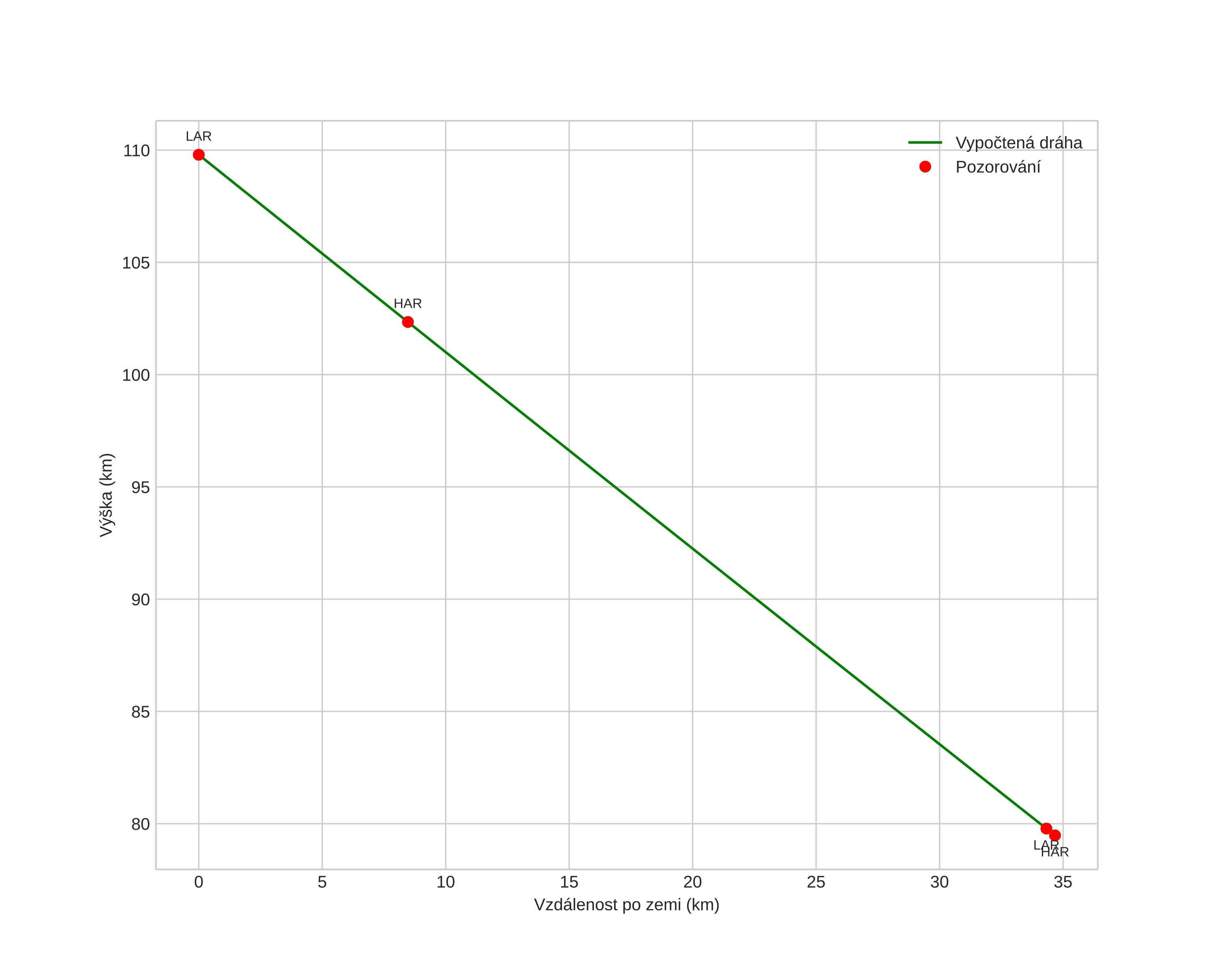
Atmosférická dráha meteoru:
Počáteční výška: 109,8 km
Konečná výška: 79,5 km
Počáteční poloha: 60,285N 6,867E
Konečná poloha: 60,093N 6,373E
Směr: 232,3°
Sklon: 41,1°
VstupnĂ­ rychlost: 61,1 km/s
Rektascenze radiantu: 02:44 (41,2°)
Deklinace radiantu: 52,9°
MeteorickĂ˝ roj: Perseidy
Elementy dráhy meteoroidu:
Vzdálenost v periheliu: 0,967 AU
Excentricita: 0,850
Sklon dráhy: 119,0°
Délka vzestupného uzlu: 136,3°
Argument perihelia: 154,1°
Střední anomálie: 1,1°
Epocha: 2021 AUG 08 22:38:32
orbit plot

NeinteraktivnĂ­ graf

position vs time
speed and acceleration