🇳🇴 🇬🇧 🇩🇪 🇨🇿 🇫🇮

Meteor, poloha: Glommen 2021-08-09 00:10:36 UTC

Soubor KML  |  InteraktivnĂ­ mapa

Mapa zobrazuje dráhy meteoru. Světlejší čáry ukazují směry od pozorovacích stanic při objevení se meteoru a tmavší čáry, kde byl naposledy viděn. Modrá šipka značí viditelnou dráhu meteoru.

static map
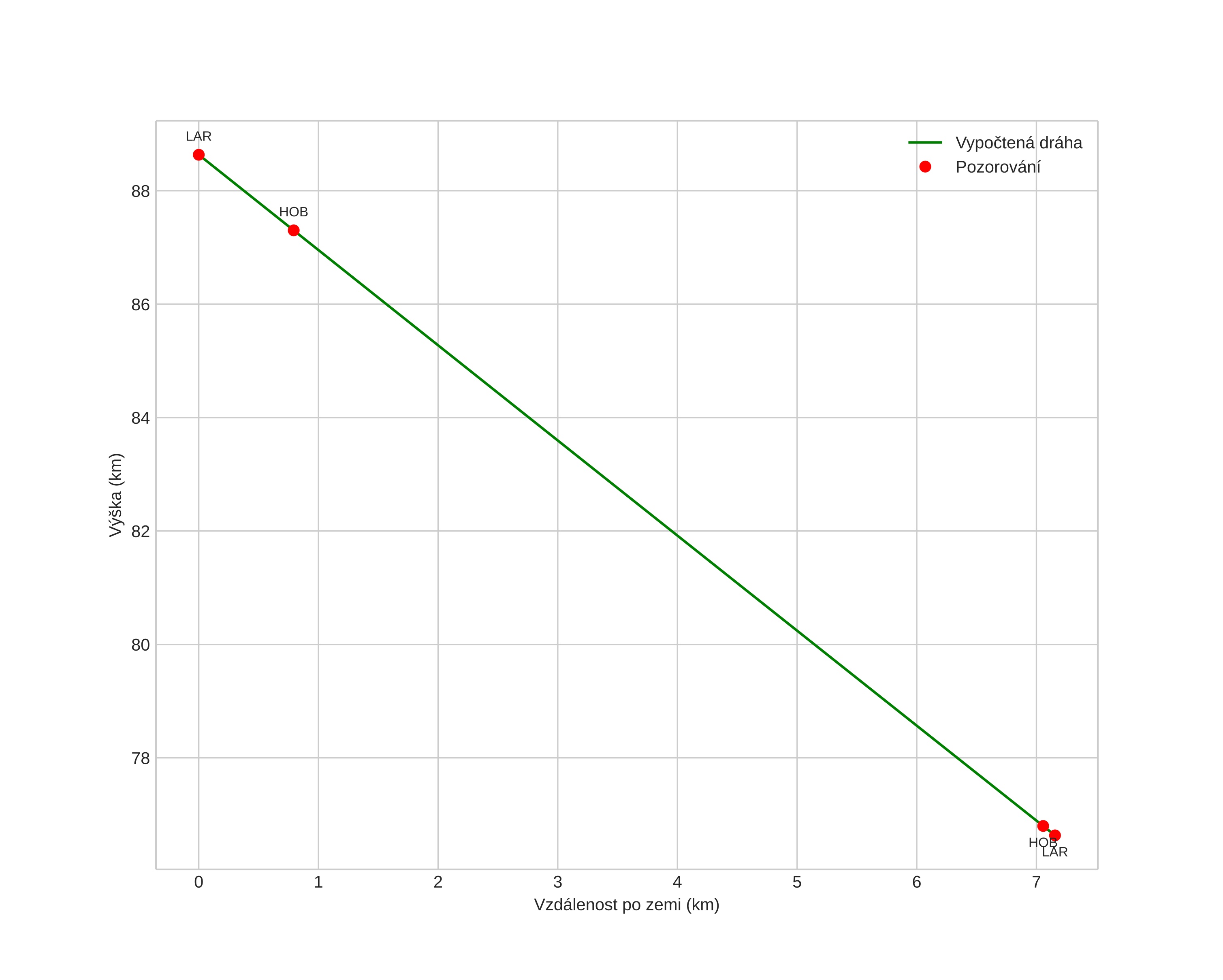
height profile
Atmosférická dráha meteoru:
Počáteční výška: 87,3 km
Konečná výška: 76,4 km
Počáteční poloha: 56,588N 11,907E
Konečná poloha: 56,601N 12,011E
Směr: 77,9°
Sklon: 59,0°
VstupnĂ­ rychlost: 26,5 km/s
Rektascenze radiantu: 19:13 (288,3°)
Deklinace radiantu: 39,5°
MeteorickĂ˝ roj: sporadickĂ˝
Elementy dráhy meteoroidu:
Vzdálenost v periheliu: 0,927 AU
Excentricita: 0,895
Sklon dráhy: 33,0°
Délka vzestupného uzlu: 136,4°
Argument perihelia: 215,0°
Střední anomálie: 359,1°
Epocha: 2021 AUG 09 00:10:36
orbit plot

NeinteraktivnĂ­ graf | InteraktivnĂ­ graf

position vs time
speed and acceleration