🇳🇴 🇬🇧 🇩🇪 🇨🇿 🇫🇮

Meteor, poloha: Rollag 2021-08-11 01:11:08 UTC

Soubor KML  |  InteraktivnĂ­ mapa

Mapa zobrazuje dráhy meteoru. Světlejší čáry ukazují směry od pozorovacích stanic při objevení se meteoru a tmavší čáry, kde byl naposledy viděn. Modrá šipka značí viditelnou dráhu meteoru.

static map
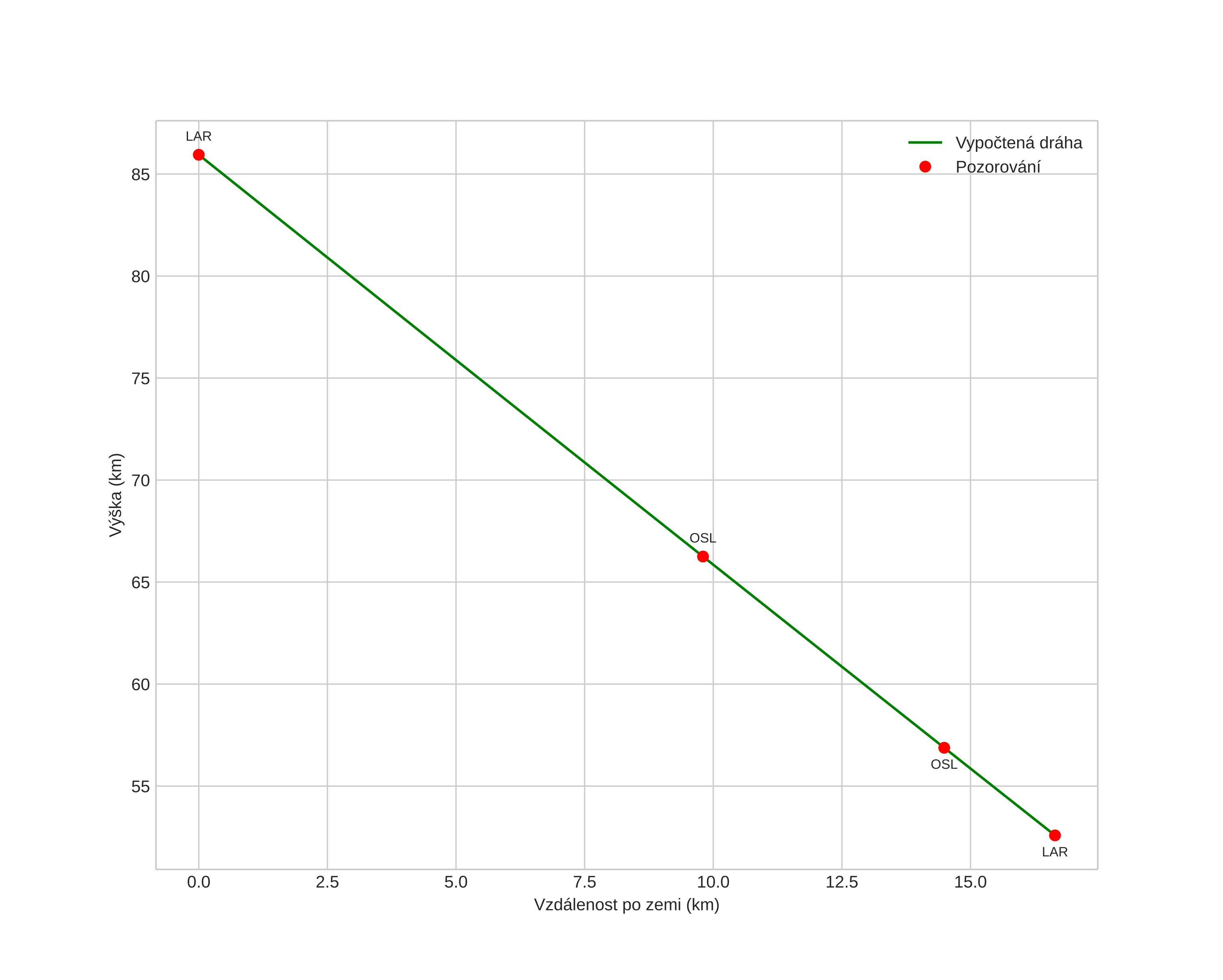
height profile
Atmosférická dráha meteoru:
Počáteční výška: 83,1 km
Konečná výška: 52,3 km
Počáteční poloha: 59,895N 8,897E
Konečná poloha: 59,954N 9,142E
Směr: 64,1°
Sklon: 63,8°
VstupnĂ­ rychlost: 28,1 km/s
Rektascenze radiantu: 20:47 (312,0°)
Deklinace radiantu: 41,5°
MeteorickĂ˝ roj: sporadickĂ˝
Elementy dráhy meteoroidu:
Vzdálenost v periheliu: 0,803 AU
Excentricita: 0,610
Sklon dráhy: 40,1°
Délka vzestupného uzlu: 138,3°
Argument perihelia: 243,2°
Střední anomálie: 345,7°
Epocha: 2021 AUG 11 01:11:08
orbit plot

NeinteraktivnĂ­ graf | InteraktivnĂ­ graf

position vs time
speed and acceleration