🇳🇴 🇬🇧 🇩🇪 🇨🇿 🇫🇮

Meteor, poloha: Rollag 2021-08-11 01:11:09 UTC

Soubor KML  |  InteraktivnĂ­ mapa

Mapa zobrazuje dráhy meteoru. Světlejší čáry ukazují směry od pozorovacích stanic při objevení se meteoru a tmavší čáry, kde byl naposledy viděn. Modrá šipka značí viditelnou dráhu meteoru.

static map
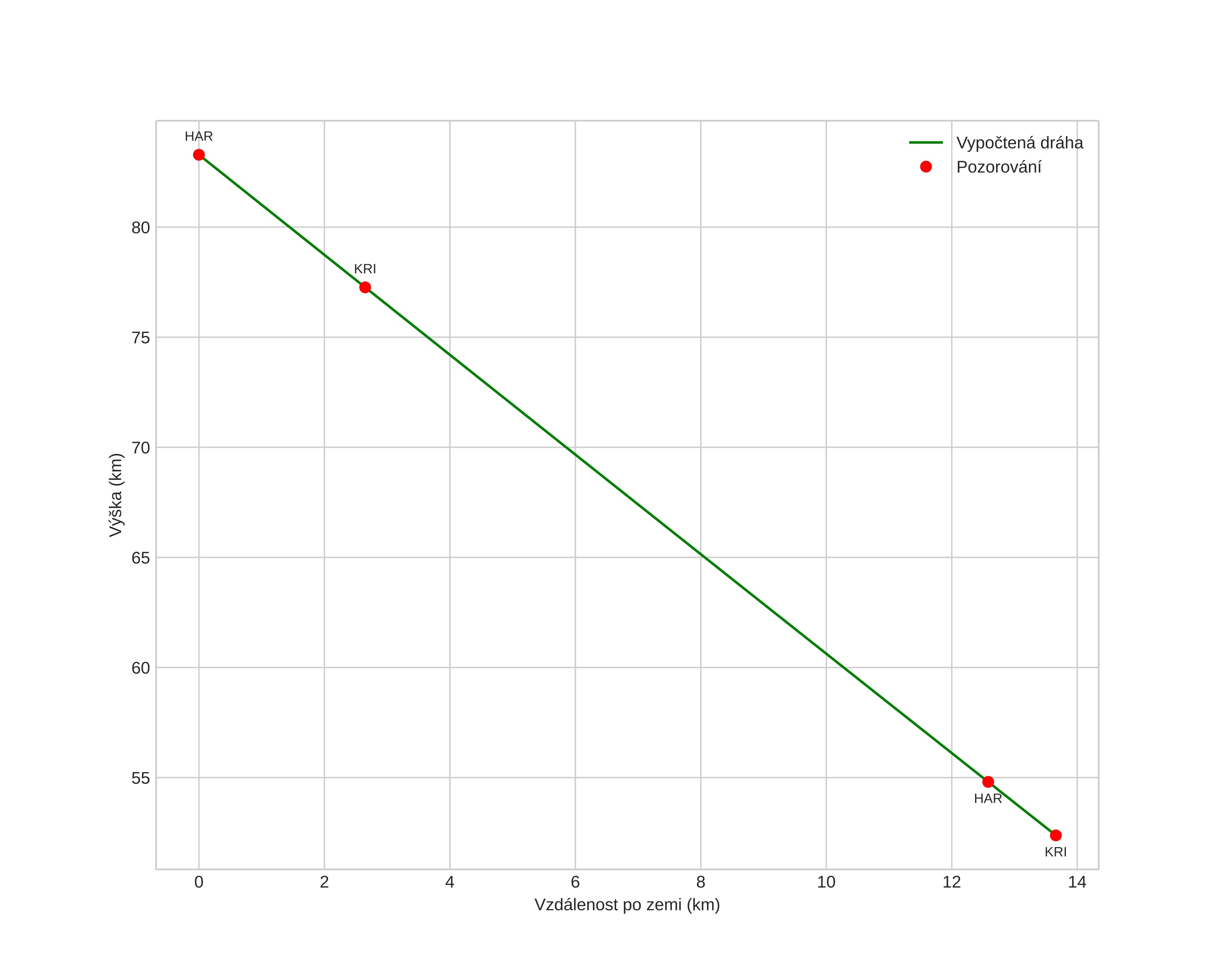
height profile
Atmosférická dráha meteoru:
Počáteční výška: 82,7 km
Konečná výška: 52,2 km
Počáteční poloha: 59,896N 8,908E
Konečná poloha: 59,955N 9,146E
Směr: 63,7°
Sklon: 64,2°
VstupnĂ­ rychlost: 27,2 km/s
Rektascenze radiantu: 20:49 (312,4°)
Deklinace radiantu: 41,6°
MeteorickĂ˝ roj: sporadickĂ˝
Elementy dráhy meteoroidu:
Vzdálenost v periheliu: 0,799 AU
Excentricita: 0,565
Sklon dráhy: 39,0°
Délka vzestupného uzlu: 138,3°
Argument perihelia: 245,6°
Střední anomálie: 342,2°
Epocha: 2021 AUG 11 01:11:09
orbit plot

NeinteraktivnĂ­ graf | InteraktivnĂ­ graf

position vs time
speed and acceleration