🇳🇴 🇬🇧 🇩🇪 🇨🇿 🇫🇮

Meteor, poloha: Treungen 2021-08-11 21:09:42 UTC

Soubor KML  |  InteraktivnĂ­ mapa

Mapa zobrazuje dráhy meteoru. Světlejší čáry ukazují směry od pozorovacích stanic při objevení se meteoru a tmavší čáry, kde byl naposledy viděn. Modrá šipka značí viditelnou dráhu meteoru.

static map
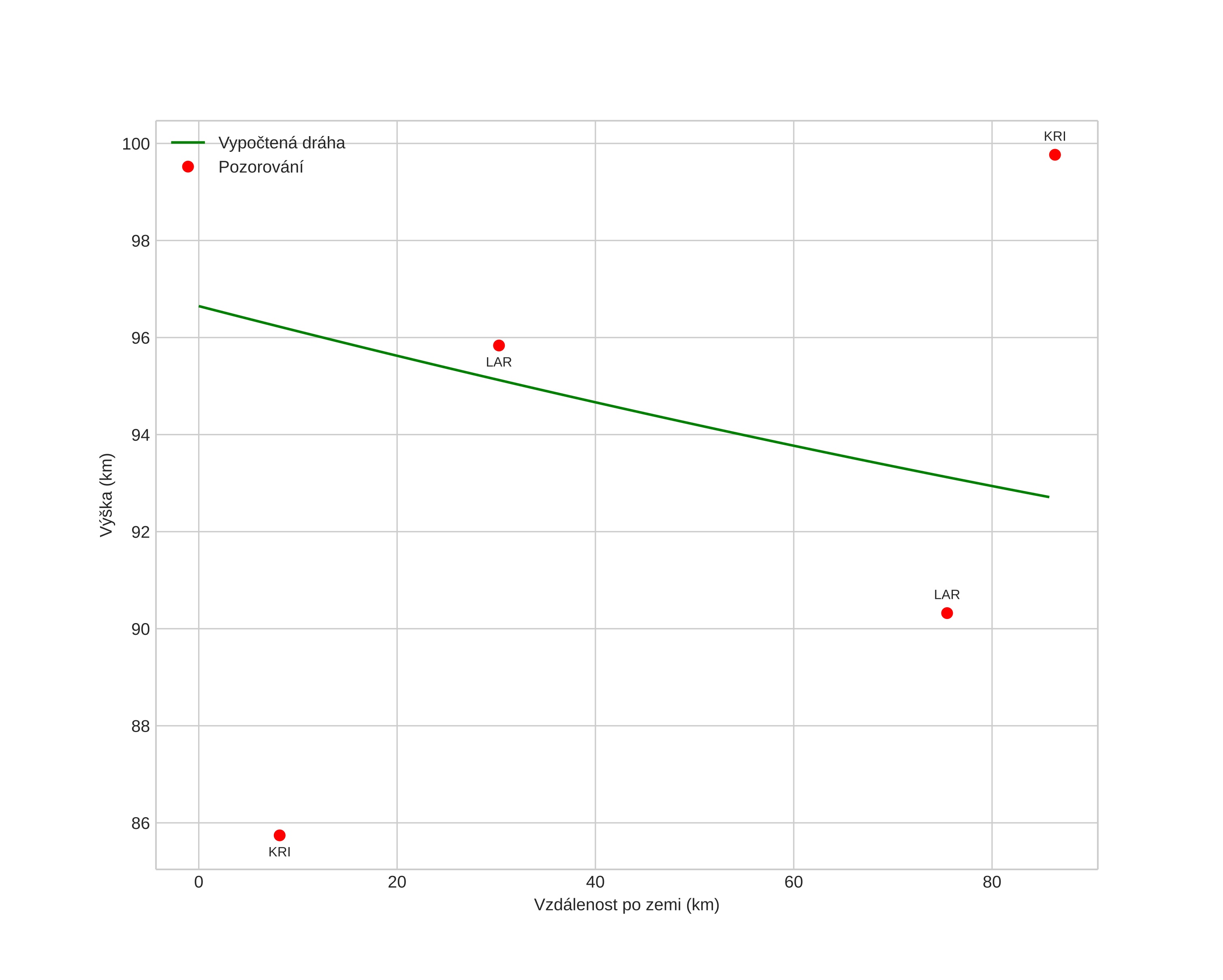
height profile
Atmosférická dráha meteoru:
Počáteční výška: 110,1 km
Konečná výška: 82,9 km
Počáteční poloha: 59,278N 8,856E
Konečná poloha: 59,007N 8,510E
Směr: 213,3°
Sklon: 37,0°
VstupnĂ­ rychlost: 64,6 km/s
Rektascenze radiantu: 03:12 (48,1°)
Deklinace radiantu: 58,9°
MeteorickĂ˝ roj: Perseidy
Elementy dráhy meteoroidu:
Vzdálenost v periheliu: 0,953 AU
Excentricita: 1,367
Sklon dráhy: 114,5°
Délka vzestupného uzlu: 139,1°
Argument perihelia: 153,8°
Střední anomálie: 4,0°
Epocha: 2021 AUG 11 21:09:42
orbit plot

NeinteraktivnĂ­ graf | InteraktivnĂ­ graf

position vs time
speed and acceleration