🇳🇴 🇬🇧 🇩🇪 🇨🇿 🇫🇮

Meteor, poloha: Treungen 2021-08-11 21:09:43 UTC

Soubor KML  |  InteraktivnĂ­ mapa

Mapa zobrazuje dráhy meteoru. Světlejší čáry ukazují směry od pozorovacích stanic při objevení se meteoru a tmavší čáry, kde byl naposledy viděn. Modrá šipka značí viditelnou dráhu meteoru.

static map
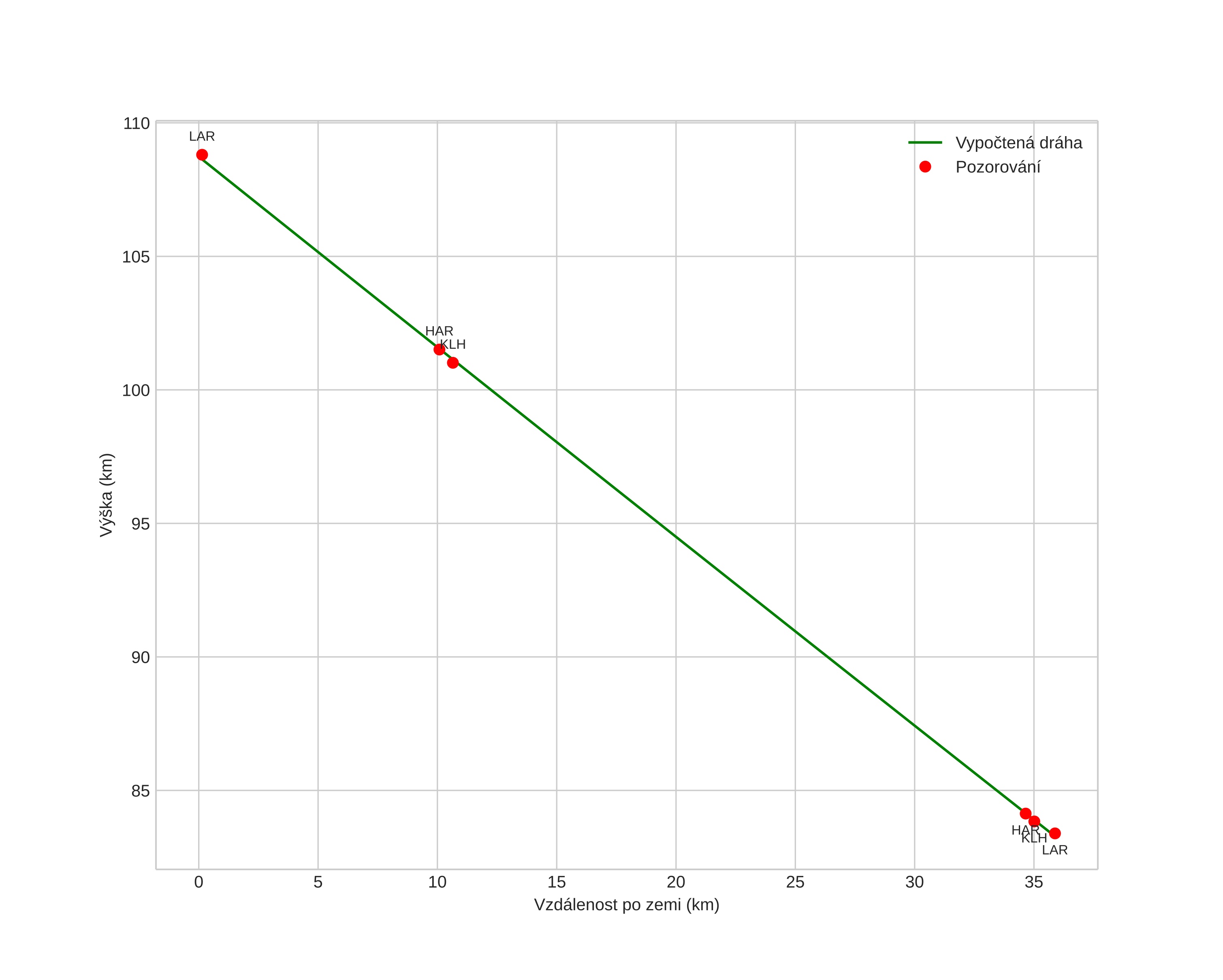
height profile
Atmosférická dráha meteoru:
Počáteční výška: 107,3 km
Konečná výška: 83,3 km
Počáteční poloha: 59,269N 8,869E
Konečná poloha: 59,021N 8,525E
Směr: 215,6°
Sklon: 35,4°
VstupnĂ­ rychlost: 62,6 km/s
Rektascenze radiantu: 03:07 (46,9°)
Deklinace radiantu: 56,4°
MeteorickĂ˝ roj: Perseidy
Elementy dráhy meteoroidu:
Vzdálenost v periheliu: 0,956 AU
Excentricita: 1,083
Sklon dráhy: 116,4°
Délka vzestupného uzlu: 139,1°
Argument perihelia: 152,9°
Střední anomálie: 0,5°
Epocha: 2021 AUG 11 21:09:43
orbit plot

NeinteraktivnĂ­ graf | InteraktivnĂ­ graf

position vs time
speed and acceleration