🇳🇴 🇬🇧 🇩🇪 🇨🇿 🇫🇮

Meteor über Halden 2021-08-11 22:48:59 UTC

KML-Datei

Die Karte zeigt die Peilungen für den Meteor. Die helleren Linien zeigen die Richtungen von den Beobachtungsorten beim Erscheinen des Meteors, und die dunkleren Linien, wo er zuletzt gesehen wurde. Der blaue Pfeil zeigt die sichtbare Bahn des Meteors.

static map
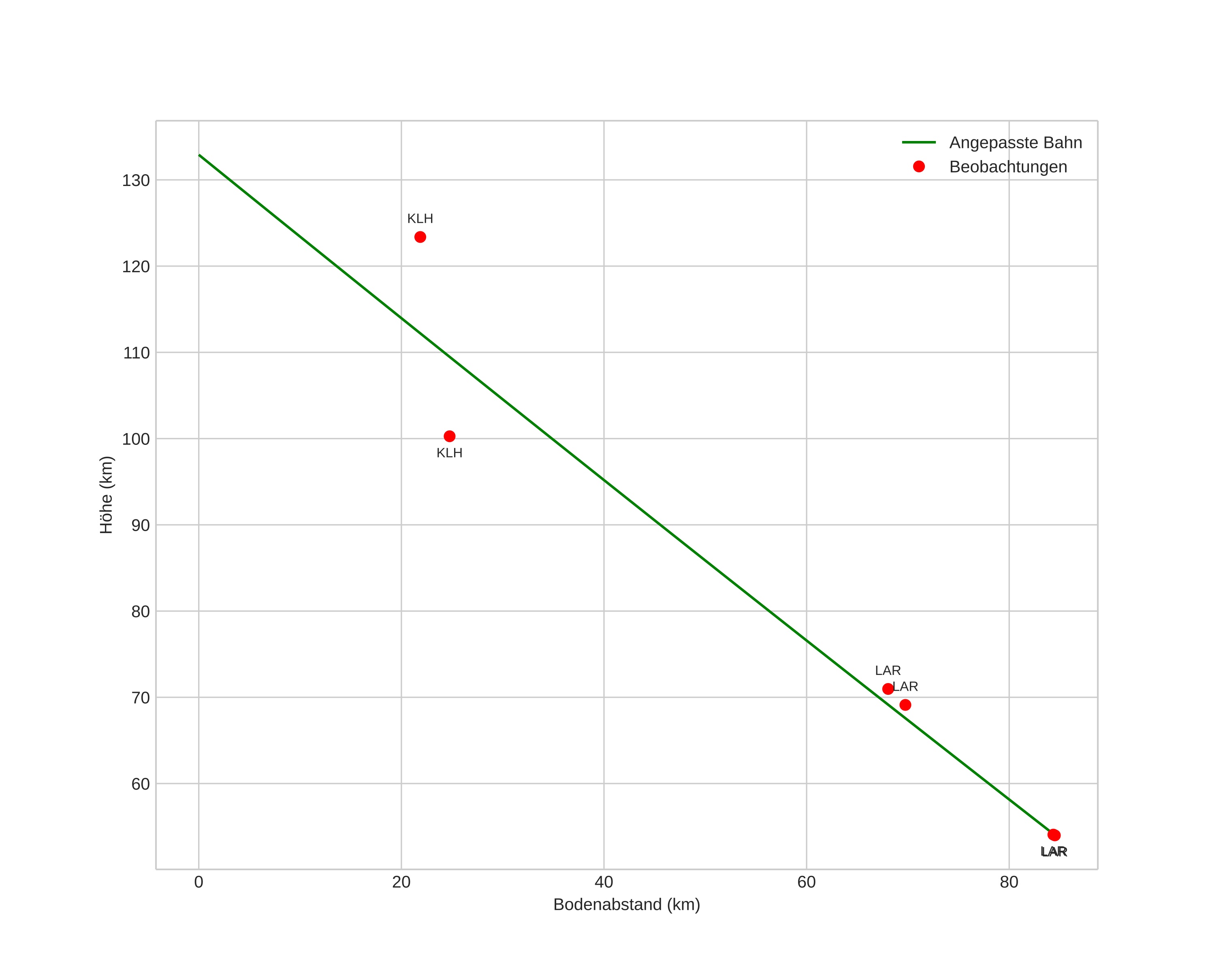
height profile
Atmosphärische Bahn des Meteors:
Anfangshöhe: 132,9 km
Endhöhe: 54,0 km
Startposition: 59,539N 12,429E
Endposition: 58,997N 11,386E
Richtung: 225,0°
Neigungswinkel: 43,0°
Eintrittsgeschwindigkeit: 36,8 km/s
Rektaszension des Radianten: 03:48 (57,2°)
Deklination des Radianten: 57,6°
Meteorstrom: sporadisch
Bahnelemente des Meteoroiden:
Periheldistanz: 0,332 AU
Exzentrizität: 0,541
Inklination: 81,9°
Länge des aufsteigenden Knotens: 139,2°
Argument des Perihels: 23,9°
Mittlere Anomalie: 116,6°
Epoche: 2021 AUG 11 22:48:59
orbit plot

Nicht-interaktives Diagramm

position vs time
speed and acceleration