🇳🇴 🇬🇧 🇩🇪 🇨🇿 🇫🇮

Meteor, poloha: Langesund 2021-08-12 00:24:24 UTC

Soubor KML  |  InteraktivnĂ­ mapa

Mapa zobrazuje dráhy meteoru. Světlejší čáry ukazují směry od pozorovacích stanic při objevení se meteoru a tmavší čáry, kde byl naposledy viděn. Modrá šipka značí viditelnou dráhu meteoru.

static map
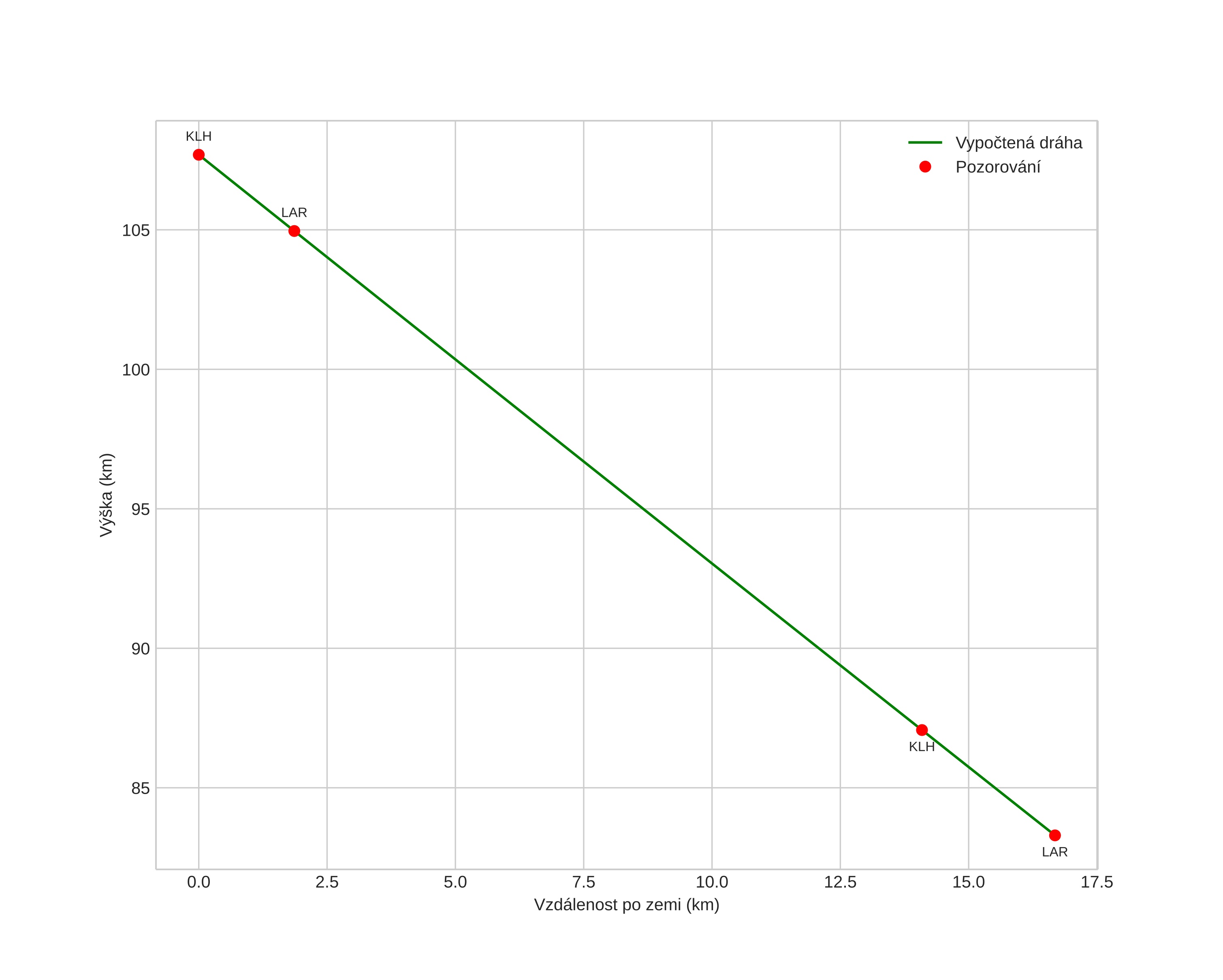
height profile
Atmosférická dráha meteoru:
Počáteční výška: 107,9 km
Konečná výška: 83,5 km
Počáteční poloha: 58,482N 10,064E
Konečná poloha: 58,412N 9,811E
Směr: 242,4°
Sklon: 55,7°
VstupnĂ­ rychlost: 71,4 km/s
Rektascenze radiantu: 02:54 (43,6°)
Deklinace radiantu: 57,1°
MeteorickĂ˝ roj: sporadickĂ˝
Elementy dráhy meteoroidu:
Vzdálenost v periheliu: 0,985 AU
Excentricita: 1,973
Sklon dráhy: 119,6°
Délka vzestupného uzlu: 139,2°
Argument perihelia: 163,3°
Střední anomálie: 9,5°
Epocha: 2021 AUG 12 00:24:24
orbit plot

NeinteraktivnĂ­ graf | InteraktivnĂ­ graf

position vs time
speed and acceleration