🇳🇴 🇬🇧 🇩🇪 🇨🇿 🇫🇮

Meteor Frederikshavnin yllä 2021-08-13 20:48:03 UTC

KML-tiedosto  |  Interaktiivinen kartta

Kartta näyttää meteorin suuntahavainnot. Vaaleammat viivat näyttävät suunnat havaintoasemilta meteorin ilmestyessä, ja tummemmat viivat näyttävät, missä se viimeksi nähtiin. Sininen nuoli näyttää meteorin näkyvän lennon.

static map
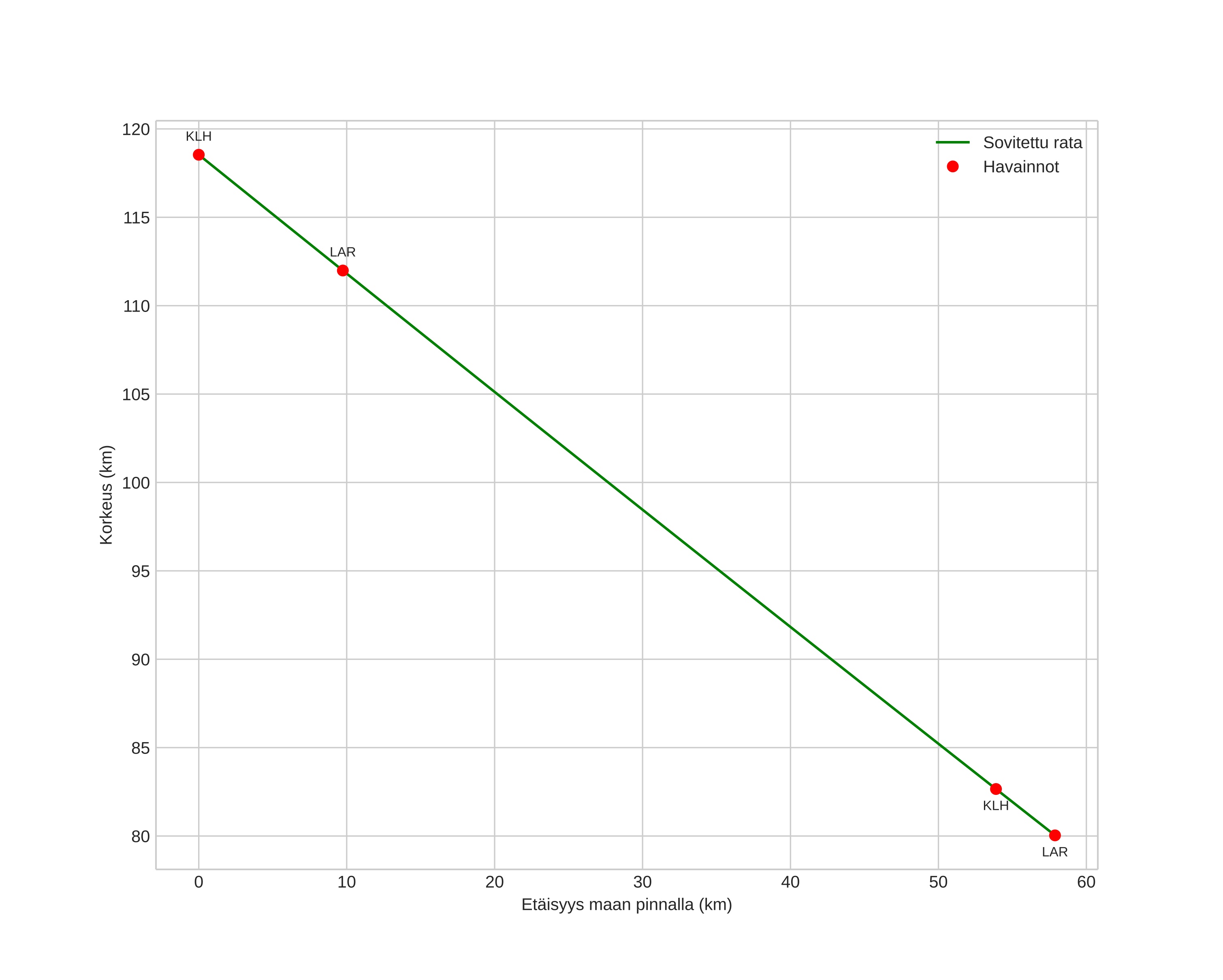
height profile
Meteorin ilmakehärata:
Alkukorkeus: 117,4 km
Loppukorkeus: 80,3 km
Alkupiste: 57,870N 11,304E
Loppupiste: 57,435N 10,799E
Suunta: 212,0°
Kallistuskulma: 33,1°
Tulonopeus: 62,4 km/s
Radiantin R,A,: 03:23 (50,9°)
Radiantin Dekl,: 56,8°
Meteoriparvi: Perseidit
Meteoroidin rataelementit:
Perihelietäisyys: 0,946 AU
Eksentrisyys: 1,055
Inklinaatio: 116,5°
Nousevan solmun pituus: 141,0°
Perihelin argumentti: 150,5°
Keskianomalia: 0,3°
Epookki: 2021 AUG 13 20:48:03
orbit plot

Ei-interaktiivinen kuvaaja | Interaktiivinen kuvaaja

position vs time
speed and acceleration