🇳🇴 🇬🇧 🇩🇪 🇨🇿 🇫🇮

Meteor, poloha: Grimstad 2021-08-13 20:49:22 UTC

Soubor KML  |  InteraktivnĂ­ mapa

Mapa zobrazuje dráhy meteoru. Světlejší čáry ukazují směry od pozorovacích stanic při objevení se meteoru a tmavší čáry, kde byl naposledy viděn. Modrá šipka značí viditelnou dráhu meteoru.

static map
height profile
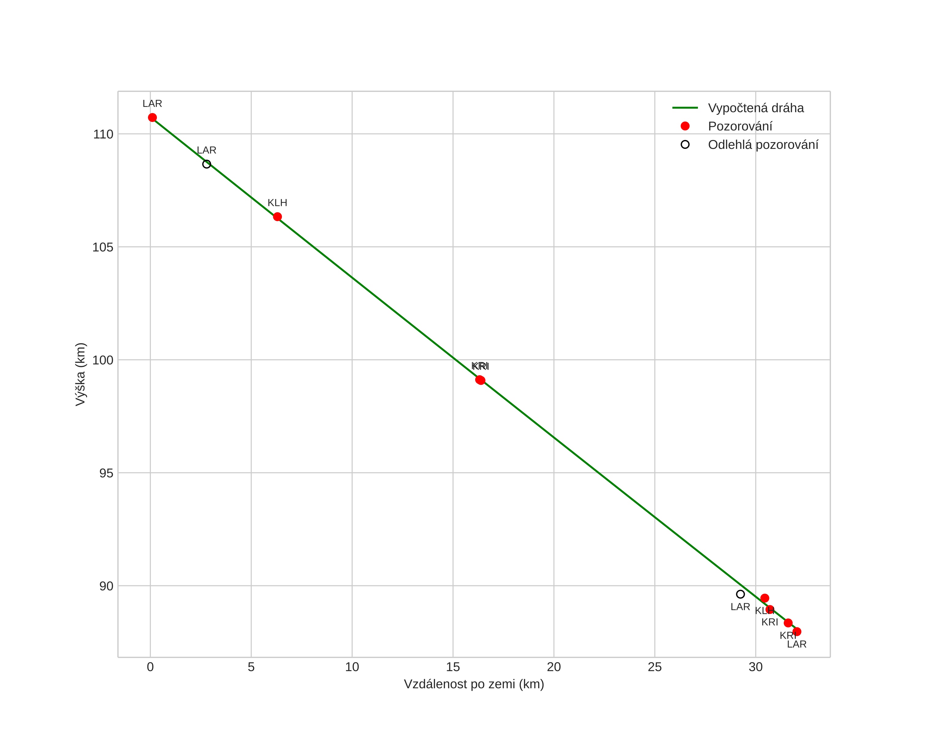
Atmosférická dráha meteoru:
Počáteční výška: 119,8 km
Konečná výška: 84,6 km
Počáteční poloha: 58,738N 8,996E
Konečná poloha: 58,359N 8,565E
Směr: 210,9°
Sklon: 35,7°
VstupnĂ­ rychlost: 62,1 km/s
Rektascenze radiantu: 03:16 (49,1°)
Deklinace radiantu: 59,0°
MeteorickĂ˝ roj: Perseidy
Elementy dráhy meteoroidu:
Vzdálenost v periheliu: 0,957 AU
Excentricita: 1,129
Sklon dráhy: 113,3°
Délka vzestupného uzlu: 141,0°
Argument perihelia: 153,5°
Střední anomálie: 0,9°
Epocha: 2021 AUG 13 20:49:22
orbit plot

NeinteraktivnĂ­ graf | InteraktivnĂ­ graf

position vs time
speed and acceleration