🇳🇴 🇬🇧 🇩🇪 🇨🇿 🇫🇮

Meteor, poloha: Ulefoss 2021-08-13 22:13:16 UTC

Soubor KML  |  InteraktivnĂ­ mapa

Mapa zobrazuje dráhy meteoru. Světlejší čáry ukazují směry od pozorovacích stanic při objevení se meteoru a tmavší čáry, kde byl naposledy viděn. Modrá šipka značí viditelnou dráhu meteoru.

static map
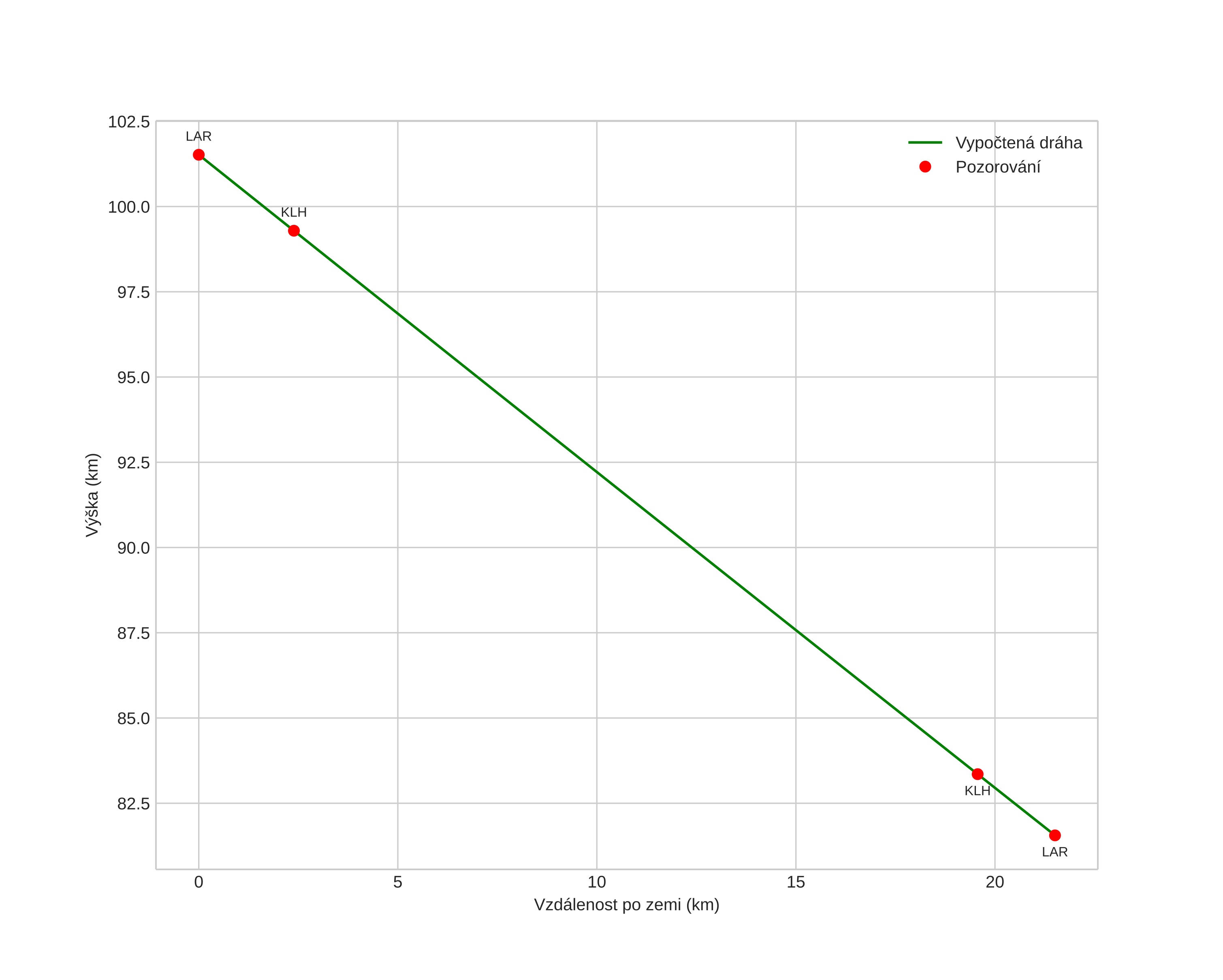
height profile
Atmosférická dráha meteoru:
Počáteční výška: 101,5 km
Konečná výška: 81,5 km
Počáteční poloha: 59,301N 9,469E
Konečná poloha: 59,158N 9,215E
Směr: 222,2°
Sklon: 42,9°
VstupnĂ­ rychlost: 62,7 km/s
Rektascenze radiantu: 03:15 (48,9°)
Deklinace radiantu: 59,4°
MeteorickĂ˝ roj: Perseidy
Elementy dráhy meteoroidu:
Vzdálenost v periheliu: 0,960 AU
Excentricita: 1,200
Sklon dráhy: 113,2°
Délka vzestupného uzlu: 141,1°
Argument perihelia: 154,7°
Střední anomálie: 1,6°
Epocha: 2021 AUG 13 22:13:16
orbit plot

NeinteraktivnĂ­ graf | InteraktivnĂ­ graf

position vs time
speed and acceleration