🇳🇴 🇬🇧 🇩🇪 🇨🇿 🇫🇮

Meteor, poloha: Västra Frölunda 2021-08-13 22:15:22 UTC

Soubor KML  |  InteraktivnĂ­ mapa

Mapa zobrazuje dráhy meteoru. Světlejší čáry ukazují směry od pozorovacích stanic při objevení se meteoru a tmavší čáry, kde byl naposledy viděn. Modrá šipka značí viditelnou dráhu meteoru.

static map
height profile
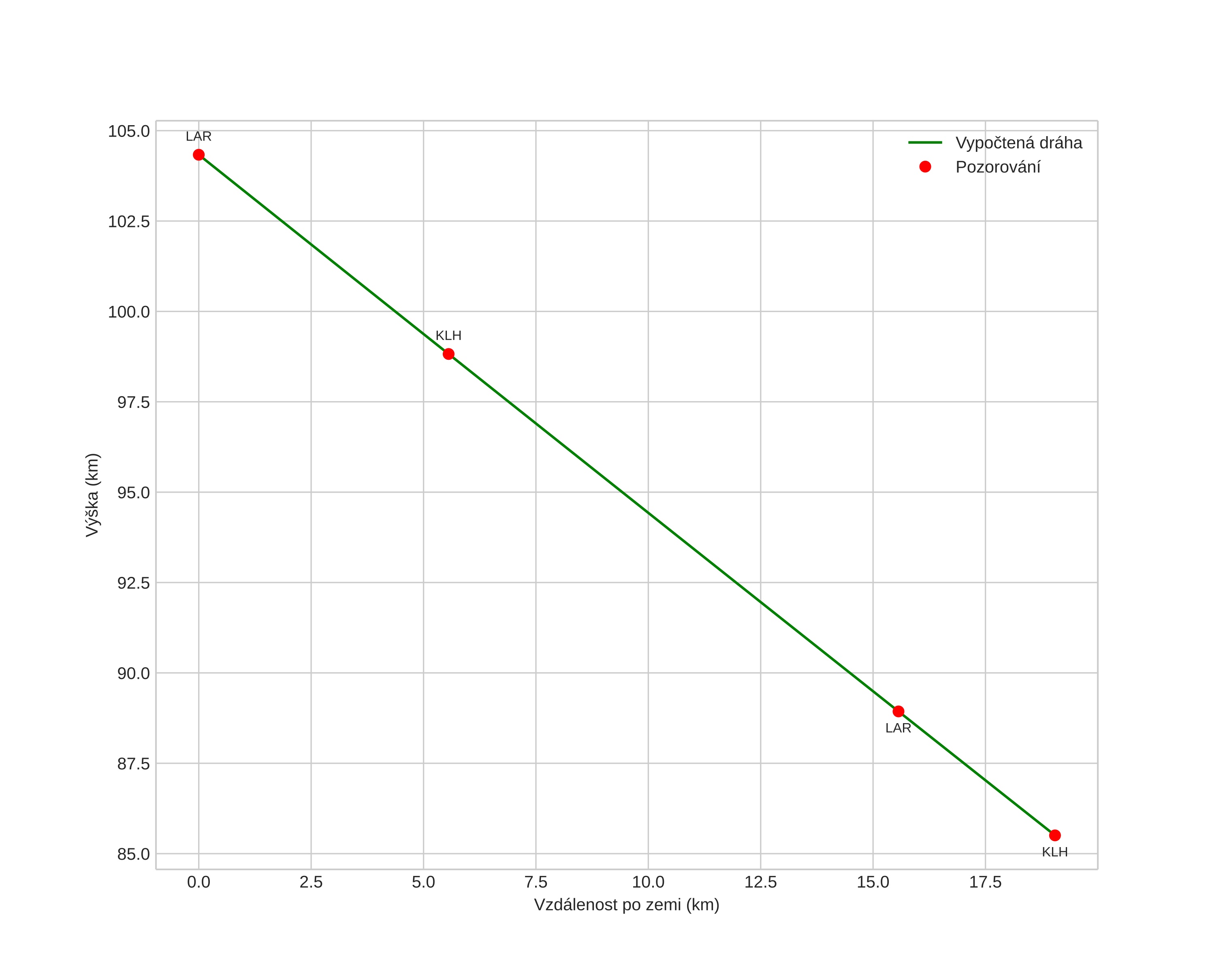
Atmosférická dráha meteoru:
Počáteční výška: 104,3 km
Konečná výška: 85,4 km
Počáteční poloha: 57,735N 12,159E
Konečná poloha: 57,620N 11,922E
Směr: 227,9°
Sklon: 44,8°
VstupnĂ­ rychlost: 63,3 km/s
Rektascenze radiantu: 02:45 (41,3°)
Deklinace radiantu: 58,0°
MeteorickĂ˝ roj: Perseidy
Elementy dráhy meteoroidu:
Vzdálenost v periheliu: 0,995 AU
Excentricita: 1,208
Sklon dráhy: 114,4°
Délka vzestupného uzlu: 141,1°
Argument perihelia: 165,4°
Střední anomálie: 0,9°
Epocha: 2021 AUG 13 22:15:22
orbit plot

NeinteraktivnĂ­ graf | InteraktivnĂ­ graf

position vs time
speed and acceleration