🇳🇴 🇬🇧 🇩🇪 🇨🇿 🇫🇮

Meteor, poloha: Strai 2021-08-13 22:23:32 UTC

Soubor KML  |  InteraktivnĂ­ mapa

Mapa zobrazuje dráhy meteoru. Světlejší čáry ukazují směry od pozorovacích stanic při objevení se meteoru a tmavší čáry, kde byl naposledy viděn. Modrá šipka značí viditelnou dráhu meteoru.

static map
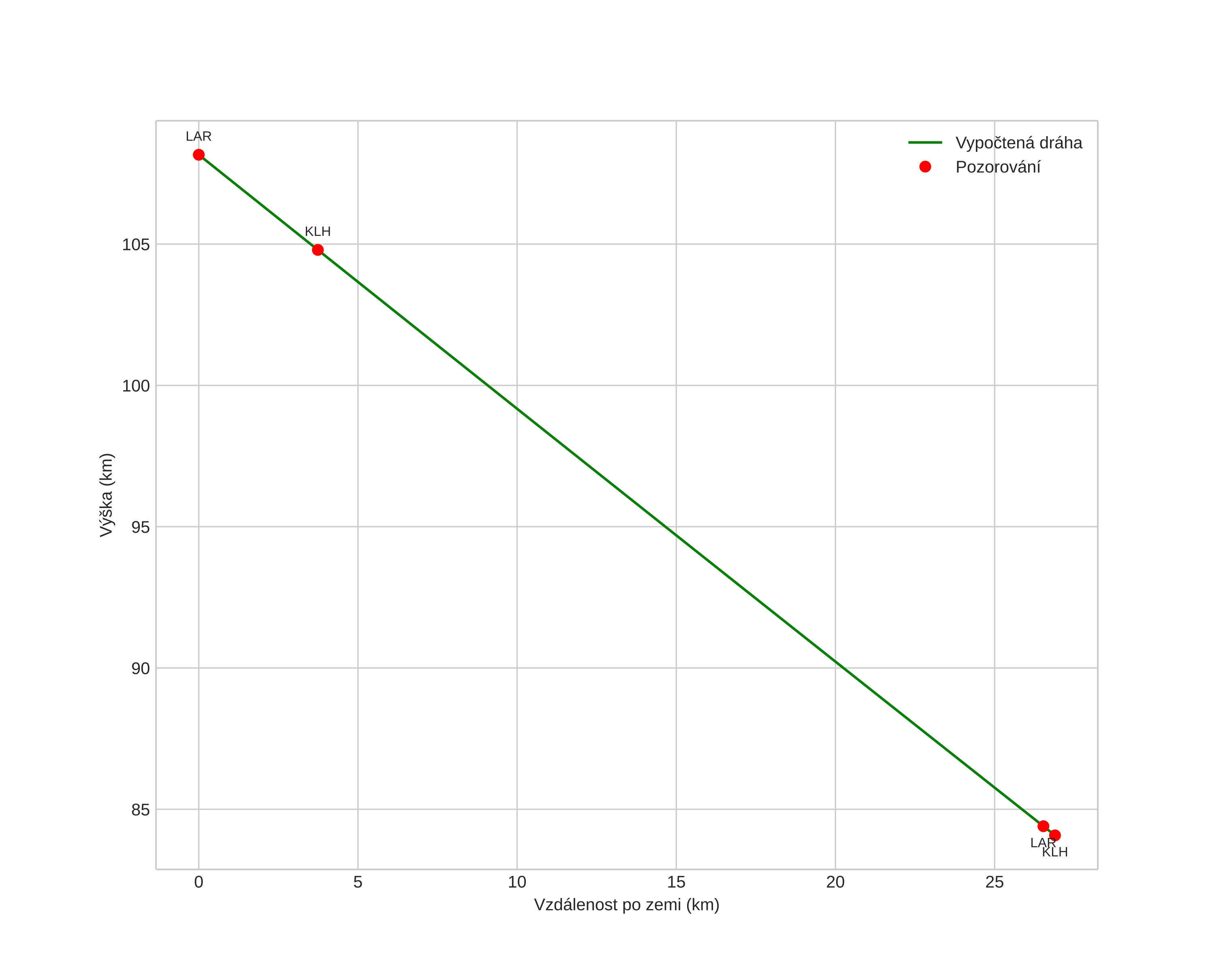
height profile
Atmosférická dráha meteoru:
Počáteční výška: 110,0 km
Konečná výška: 84,1 km
Počáteční poloha: 58,370N 8,195E
Konečná poloha: 58,163N 7,897E
Směr: 217,2°
Sklon: 41,9°
VstupnĂ­ rychlost: 60,2 km/s
Rektascenze radiantu: 03:42 (55,6°)
Deklinace radiantu: 61,4°
MeteorickĂ˝ roj: Perseidy
Elementy dráhy meteoroidu:
Vzdálenost v periheliu: 0,913 AU
Excentricita: 1,079
Sklon dráhy: 109,2°
Délka vzestupného uzlu: 141,1°
Argument perihelia: 144,2°
Střední anomálie: 0,6°
Epocha: 2021 AUG 13 22:23:32
orbit plot

NeinteraktivnĂ­ graf | InteraktivnĂ­ graf

position vs time
speed and acceleration