🇳🇴 🇬🇧 🇩🇪 🇨🇿 🇫🇮

Meteor, poloha: Hals 2021-08-13 23:01:03 UTC

Soubor KML  |  InteraktivnĂ­ mapa

Mapa zobrazuje dráhy meteoru. Světlejší čáry ukazují směry od pozorovacích stanic při objevení se meteoru a tmavší čáry, kde byl naposledy viděn. Modrá šipka značí viditelnou dráhu meteoru.

static map
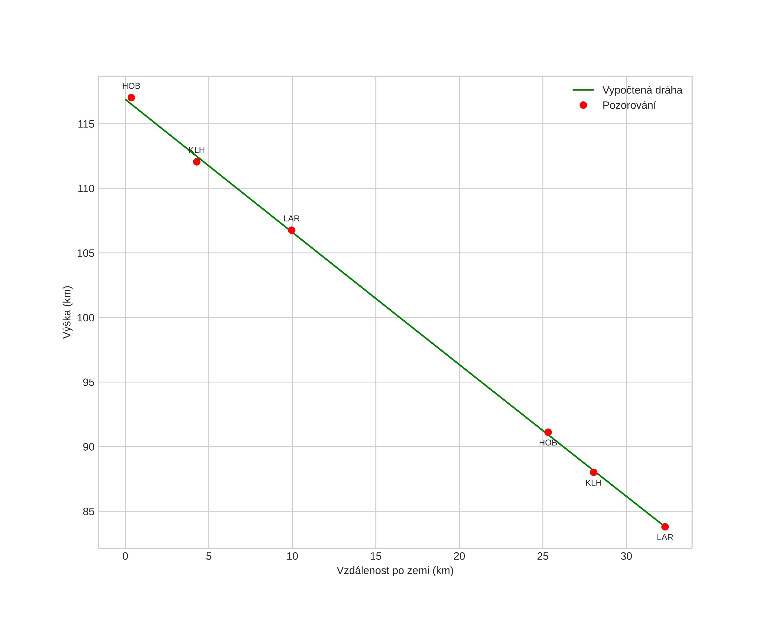
height profile
Atmosférická dráha meteoru:
Počáteční výška: 114,7 km
Konečná výška: 83,4 km
Počáteční poloha: 57,007N 10,844E
Konečná poloha: 56,821N 10,471E
Směr: 227,7°
Sklon: 45,6°
VstupnĂ­ rychlost: 64,5 km/s
Rektascenze radiantu: 03:17 (49,3°)
Deklinace radiantu: 58,7°
MeteorickĂ˝ roj: Perseidy
Elementy dráhy meteoroidu:
Vzdálenost v periheliu: 0,962 AU
Excentricita: 1,326
Sklon dráhy: 115,2°
Délka vzestupného uzlu: 141,1°
Argument perihelia: 155,7°
Střední anomálie: 3,1°
Epocha: 2021 AUG 13 23:01:03
orbit plot

NeinteraktivnĂ­ graf | InteraktivnĂ­ graf

position vs time
speed and acceleration