🇳🇴 🇬🇧 🇩🇪 🇨🇿 🇫🇮

Meteor, poloha: Seljord 2021-08-13 23:25:54 UTC

Soubor KML  |  InteraktivnĂ­ mapa

Mapa zobrazuje dráhy meteoru. Světlejší čáry ukazují směry od pozorovacích stanic při objevení se meteoru a tmavší čáry, kde byl naposledy viděn. Modrá šipka značí viditelnou dráhu meteoru.

static map
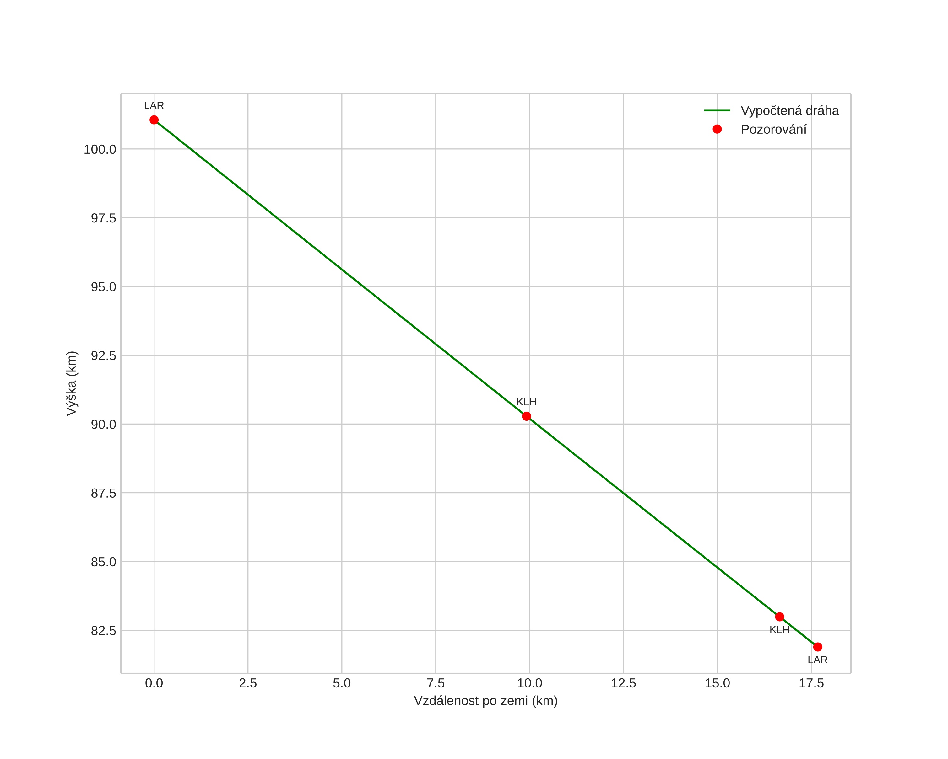
height profile
Atmosférická dráha meteoru:
Počáteční výška: 101,1 km
Konečná výška: 81,9 km
Počáteční poloha: 59,645N 9,006E
Konečná poloha: 59,543N 8,766E
Směr: 229,9°
Sklon: 47,4°
VstupnĂ­ rychlost: 66,3 km/s
Rektascenze radiantu: 03:33 (53,3°)
Deklinace radiantu: 58,6°
MeteorickĂ˝ roj: Perseidy
Elementy dráhy meteoroidu:
Vzdálenost v periheliu: 0,943 AU
Excentricita: 1,486
Sklon dráhy: 116,4°
Délka vzestupného uzlu: 141,1°
Argument perihelia: 152,2°
Střední anomálie: 6,3°
Epocha: 2021 AUG 13 23:25:54
orbit plot

NeinteraktivnĂ­ graf | InteraktivnĂ­ graf

position vs time
speed and acceleration