🇳🇴 🇬🇧 🇩🇪 🇨🇿 🇫🇮

Meteor, poloha: Byrum 2021-08-13 23:27:27 UTC

Soubor KML  |  InteraktivnĂ­ mapa

Mapa zobrazuje dráhy meteoru. Světlejší čáry ukazují směry od pozorovacích stanic při objevení se meteoru a tmavší čáry, kde byl naposledy viděn. Modrá šipka značí viditelnou dráhu meteoru.

static map
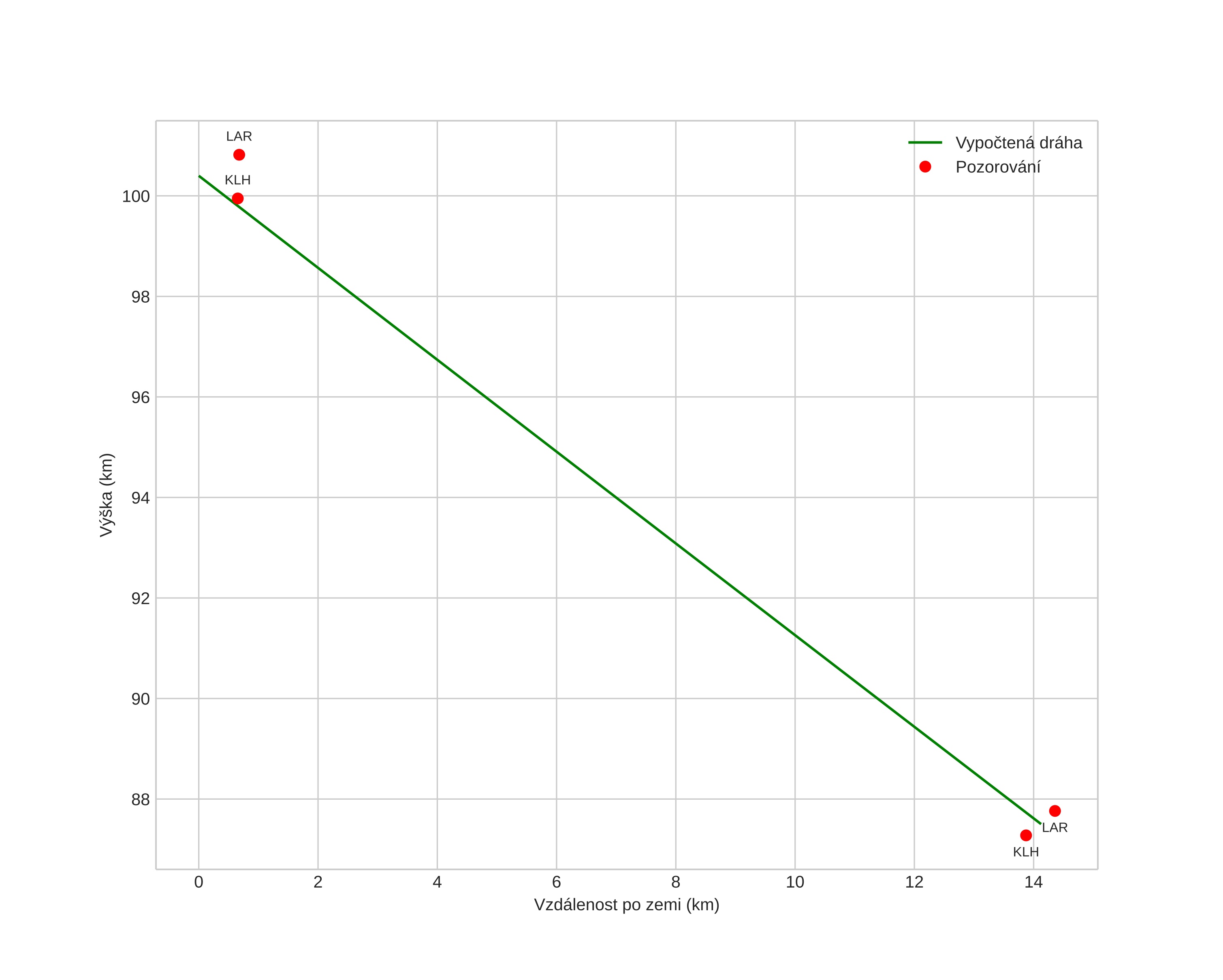
height profile
Atmosférická dráha meteoru:
Počáteční výška: 100,4 km
Konečná výška: 87,5 km
Počáteční poloha: 57,316N 11,285E
Konečná poloha: 57,220N 11,131E
Směr: 220,9°
Sklon: 42,4°
VstupnĂ­ rychlost: 58,1 km/s
Rektascenze radiantu: 04:32 (68,1°)
Deklinace radiantu: 60,2°
MeteorickĂ˝ roj: sporadickĂ˝
Elementy dráhy meteoroidu:
Vzdálenost v periheliu: 0,794 AU
Excentricita: 0,956
Sklon dráhy: 108,0°
Délka vzestupného uzlu: 141,1°
Argument perihelia: 124,0°
Střední anomálie: 0,4°
Epocha: 2021 AUG 13 23:27:27
orbit plot

NeinteraktivnĂ­ graf | InteraktivnĂ­ graf

position vs time
speed and acceleration