🇳🇴 🇬🇧 🇩🇪 🇨🇿 🇫🇮

Meteor, poloha: Hvide Sande 2021-08-13 23:28:36 UTC

Soubor KML  |  Interaktivní mapa

Mapa zobrazuje dráhy meteoru. Světlejší čáry ukazují směry od pozorovacích stanic při objevení se meteoru a tmavší čáry, kde byl naposledy viděn. Modrá šipka značí viditelnou dráhu meteoru.

static map
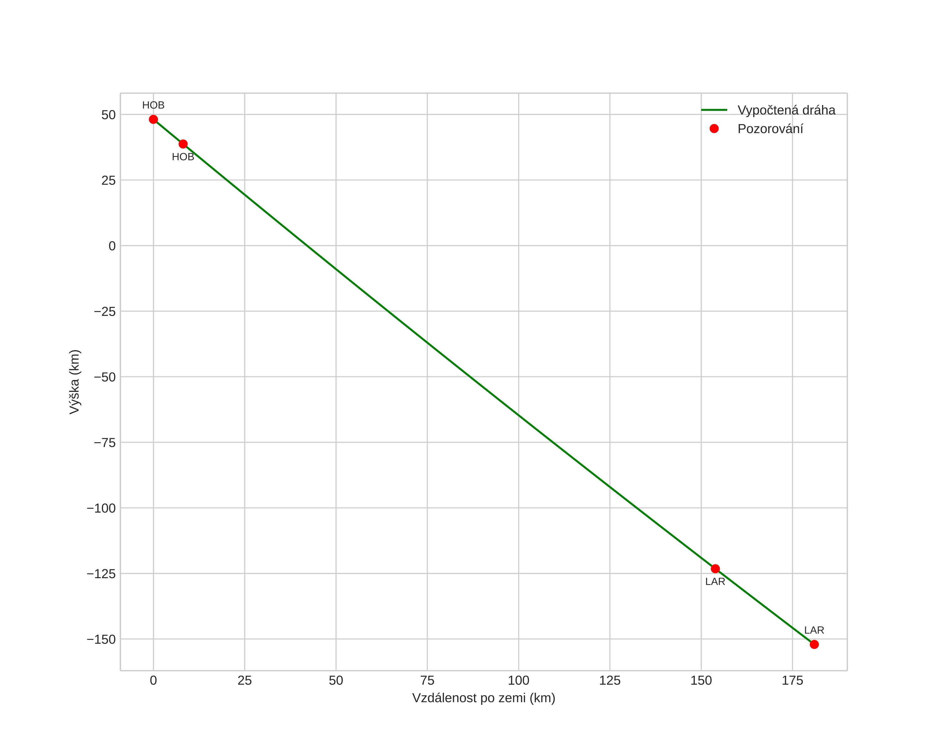
height profile
Atmosférická dráha meteoru:
Počáteční výška: 41,1 km
Konečná výška: -154,8 km
Počáteční poloha: 56,588N 9,295E
Konečná poloha: 55,483N 7,040E
Směr: 229,7°
Sklon: 46,4°
orbit plot
position vs time
speed and acceleration