🇳🇴 🇬🇧 🇩🇪 🇨🇿 🇫🇮

Meteor, poloha: Fjerritslev 2021-08-14 00:55:31 UTC

Soubor KML  |  InteraktivnĂ­ mapa

Mapa zobrazuje dráhy meteoru. Světlejší čáry ukazují směry od pozorovacích stanic při objevení se meteoru a tmavší čáry, kde byl naposledy viděn. Modrá šipka značí viditelnou dráhu meteoru.

static map
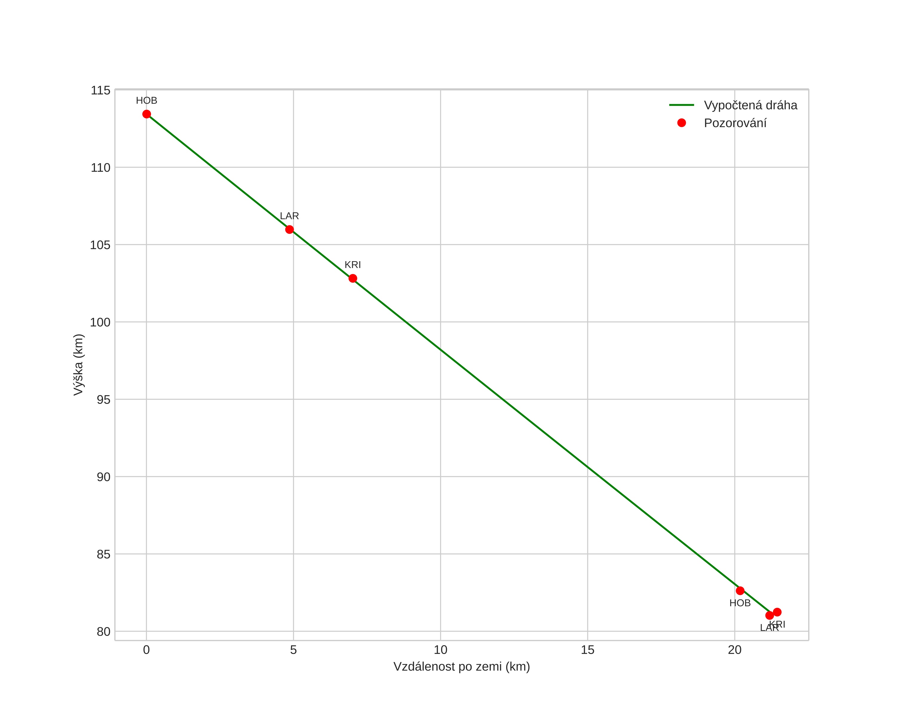
height profile
Atmosférická dráha meteoru:
Počáteční výška: 113,4 km
Konečná výška: 80,9 km
Počáteční poloha: 57,166N 9,596E
Konečná poloha: 57,076N 9,284E
Směr: 242,0°
Sklon: 56,7°
VstupnĂ­ rychlost: 61,1 km/s
Rektascenze radiantu: 03:18 (49,7°)
Deklinace radiantu: 57,3°
MeteorickĂ˝ roj: Perseidy
Elementy dráhy meteoroidu:
Vzdálenost v periheliu: 0,952 AU
Excentricita: 0,971
Sklon dráhy: 115,1°
Délka vzestupného uzlu: 141,2°
Argument perihelia: 151,4°
Střední anomálie: 0,1°
Epocha: 2021 AUG 14 00:55:31
orbit plot

NeinteraktivnĂ­ graf | InteraktivnĂ­ graf

position vs time
speed and acceleration