🇳🇴 🇬🇧 🇩🇪 🇨🇿 🇫🇮

Meteor, poloha: Byrum 2021-08-14 01:16:04 UTC

Soubor KML  |  InteraktivnĂ­ mapa

Mapa zobrazuje dráhy meteoru. Světlejší čáry ukazují směry od pozorovacích stanic při objevení se meteoru a tmavší čáry, kde byl naposledy viděn. Modrá šipka značí viditelnou dráhu meteoru.

static map
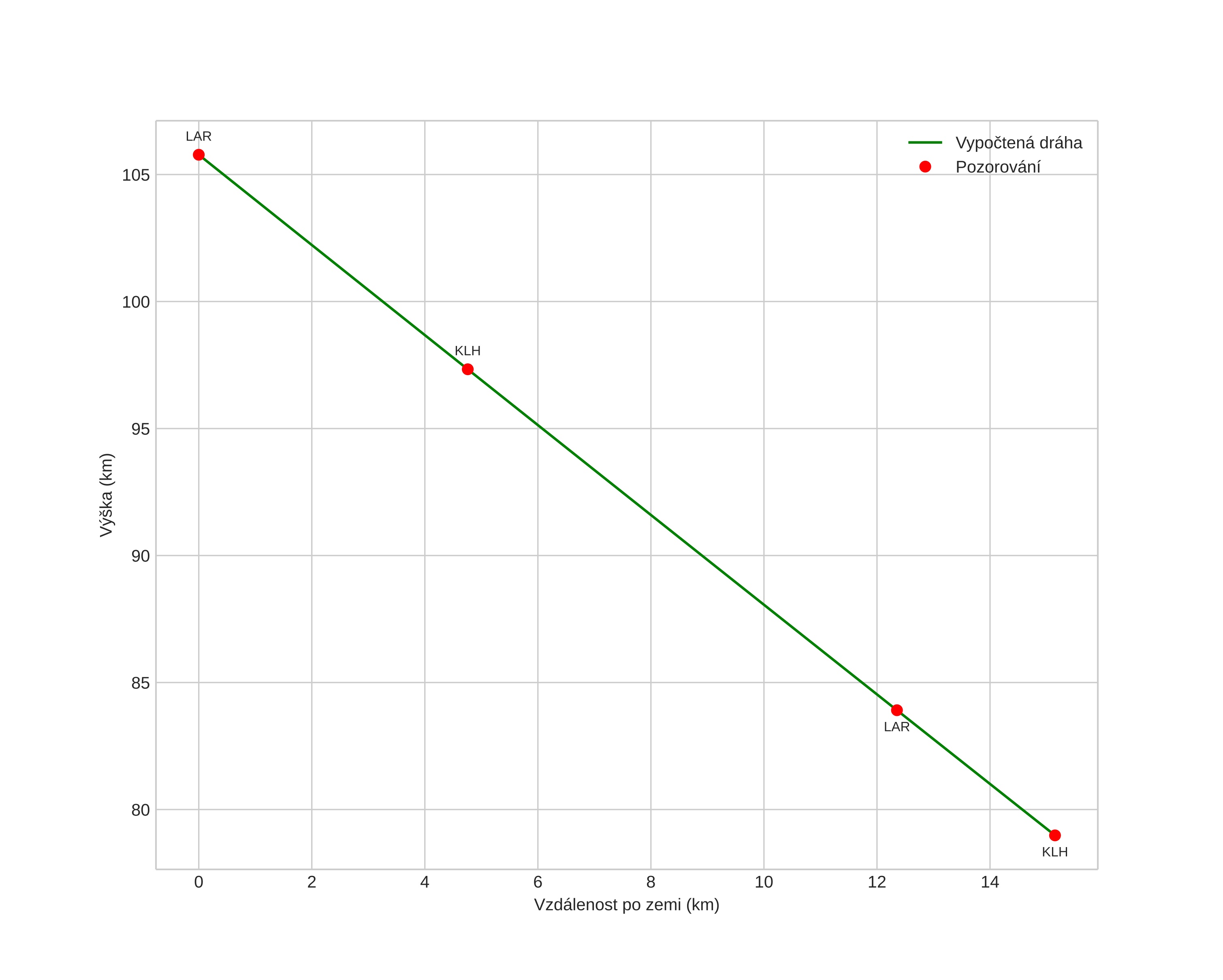
height profile
Atmosférická dráha meteoru:
Počáteční výška: 103,5 km
Konečná výška: 78,5 km
Počáteční poloha: 57,230N 11,310E
Konečná poloha: 57,169N 11,104E
Směr: 241,6°
Sklon: 60,6°
VstupnĂ­ rychlost: 60,0 km/s
Rektascenze radiantu: 03:19 (49,9°)
Deklinace radiantu: 59,1°
MeteorickĂ˝ roj: Perseidy
Elementy dráhy meteoroidu:
Vzdálenost v periheliu: 0,948 AU
Excentricita: 0,957
Sklon dráhy: 112,0°
Délka vzestupného uzlu: 141,2°
Argument perihelia: 150,2°
Střední anomálie: 0,2°
Epocha: 2021 AUG 14 01:16:04
orbit plot

NeinteraktivnĂ­ graf | InteraktivnĂ­ graf

position vs time
speed and acceleration