🇳🇴 🇬🇧 🇩🇪 🇨🇿 🇫🇮

Meteor, poloha: Skärhamn 2021-08-14 01:48:48 UTC

Soubor KML  |  InteraktivnĂ­ mapa

Mapa zobrazuje dráhy meteoru. Světlejší čáry ukazují směry od pozorovacích stanic při objevení se meteoru a tmavší čáry, kde byl naposledy viděn. Modrá šipka značí viditelnou dráhu meteoru.

static map
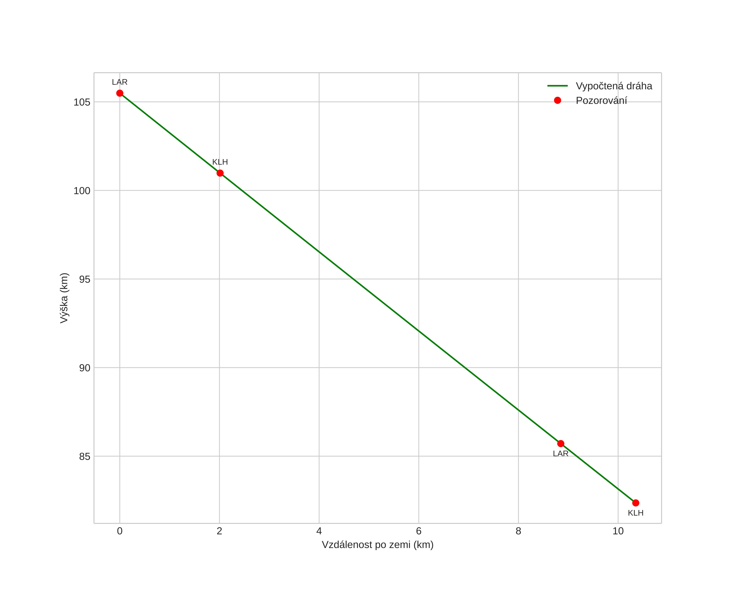
height profile
Atmosférická dráha meteoru:
Počáteční výška: 105,6 km
Konečná výška: 82,3 km
Počáteční poloha: 58,087N 11,620E
Konečná poloha: 58,047N 11,462E
Směr: 244,7°
Sklon: 66,1°
VstupnĂ­ rychlost: 63,1 km/s
Rektascenze radiantu: 03:13 (48,4°)
Deklinace radiantu: 60,1°
MeteorickĂ˝ roj: Perseidy
Elementy dráhy meteoroidu:
Vzdálenost v periheliu: 0,964 AU
Excentricita: 1,262
Sklon dráhy: 112,6°
Délka vzestupného uzlu: 141,2°
Argument perihelia: 156,0°
Střední anomálie: 2,2°
Epocha: 2021 AUG 14 01:48:48
orbit plot

NeinteraktivnĂ­ graf | InteraktivnĂ­ graf

position vs time
speed and acceleration