🇳🇴 🇬🇧 🇩🇪 🇨🇿 🇫🇮

Meteor, poloha: Ă…mli 2021-08-14 01:59:33 UTC

Soubor KML  |  InteraktivnĂ­ mapa

Mapa zobrazuje dráhy meteoru. Světlejší čáry ukazují směry od pozorovacích stanic při objevení se meteoru a tmavší čáry, kde byl naposledy viděn. Modrá šipka značí viditelnou dráhu meteoru.

static map
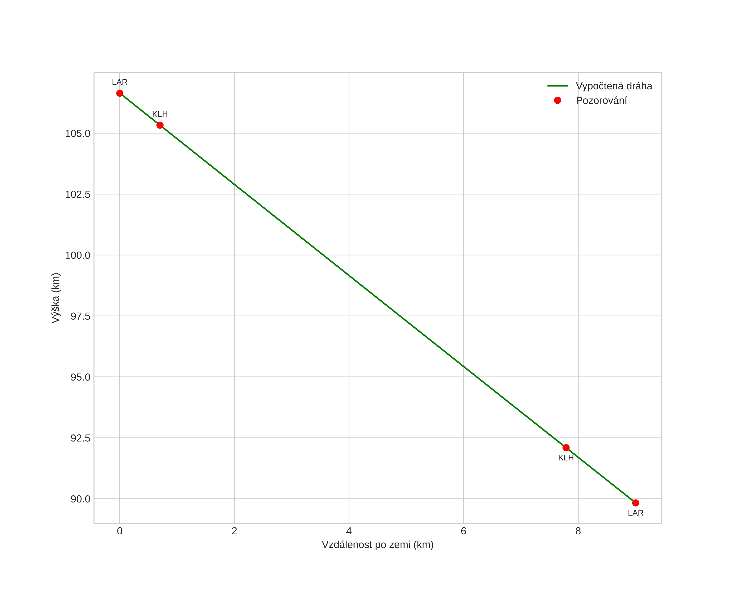
height profile
Atmosférická dráha meteoru:
Počáteční výška: 107,0 km
Konečná výška: 89,8 km
Počáteční poloha: 58,755N 8,494E
Konečná poloha: 58,727N 8,344E
Směr: 250,3°
Sklon: 61,9°
VstupnĂ­ rychlost: 64,1 km/s
Rektascenze radiantu: 03:38 (54,6°)
Deklinace radiantu: 56,7°
MeteorickĂ˝ roj: Perseidy
Elementy dráhy meteoroidu:
Vzdálenost v periheliu: 0,927 AU
Excentricita: 1,199
Sklon dráhy: 118,0°
Délka vzestupného uzlu: 141,2°
Argument perihelia: 147,7°
Střední anomálie: 2,1°
Epocha: 2021 AUG 14 01:59:33
orbit plot

NeinteraktivnĂ­ graf | InteraktivnĂ­ graf

position vs time
speed and acceleration