🇳🇴 🇬🇧 🇩🇪 🇨🇿 🇫🇮

Meteor, poloha: Skagen 2021-08-14 22:08:23 UTC

Soubor KML  |  InteraktivnĂ­ mapa

Mapa zobrazuje dráhy meteoru. Světlejší čáry ukazují směry od pozorovacích stanic při objevení se meteoru a tmavší čáry, kde byl naposledy viděn. Modrá šipka značí viditelnou dráhu meteoru.

static map
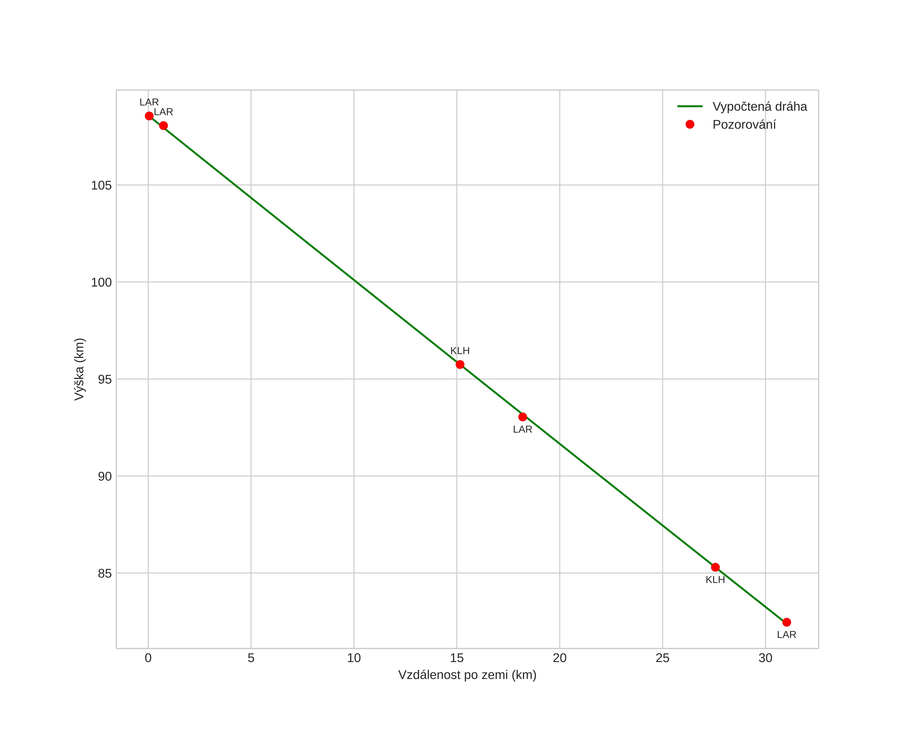
height profile
Atmosférická dráha meteoru:
Počáteční výška: 110,1 km
Konečná výška: 82,4 km
Počáteční poloha: 58,613N 10,913E
Konečná poloha: 58,386N 10,555E
Směr: 219,6°
Sklon: 40,2°
VstupnĂ­ rychlost: 56,6 km/s
Rektascenze radiantu: 03:42 (55,5°)
Deklinace radiantu: 58,8°
MeteorickĂ˝ roj: Perseidy
Elementy dráhy meteoroidu:
Vzdálenost v periheliu: 0,895 AU
Excentricita: 0,704
Sklon dráhy: 110,2°
Délka vzestupného uzlu: 142,0°
Argument perihelia: 135,9°
Střední anomálie: 5,9°
Epocha: 2021 AUG 14 22:08:23
orbit plot

NeinteraktivnĂ­ graf | InteraktivnĂ­ graf

position vs time
speed and acceleration