🇳🇴 🇬🇧 🇩🇪 🇨🇿 🇫🇮

Meteor, poloha: Ålbæk 2021-08-14 23:35:09 UTC

Soubor KML  |  InteraktivnĂ­ mapa

Mapa zobrazuje dráhy meteoru. Světlejší čáry ukazují směry od pozorovacích stanic při objevení se meteoru a tmavší čáry, kde byl naposledy viděn. Modrá šipka značí viditelnou dráhu meteoru.

static map
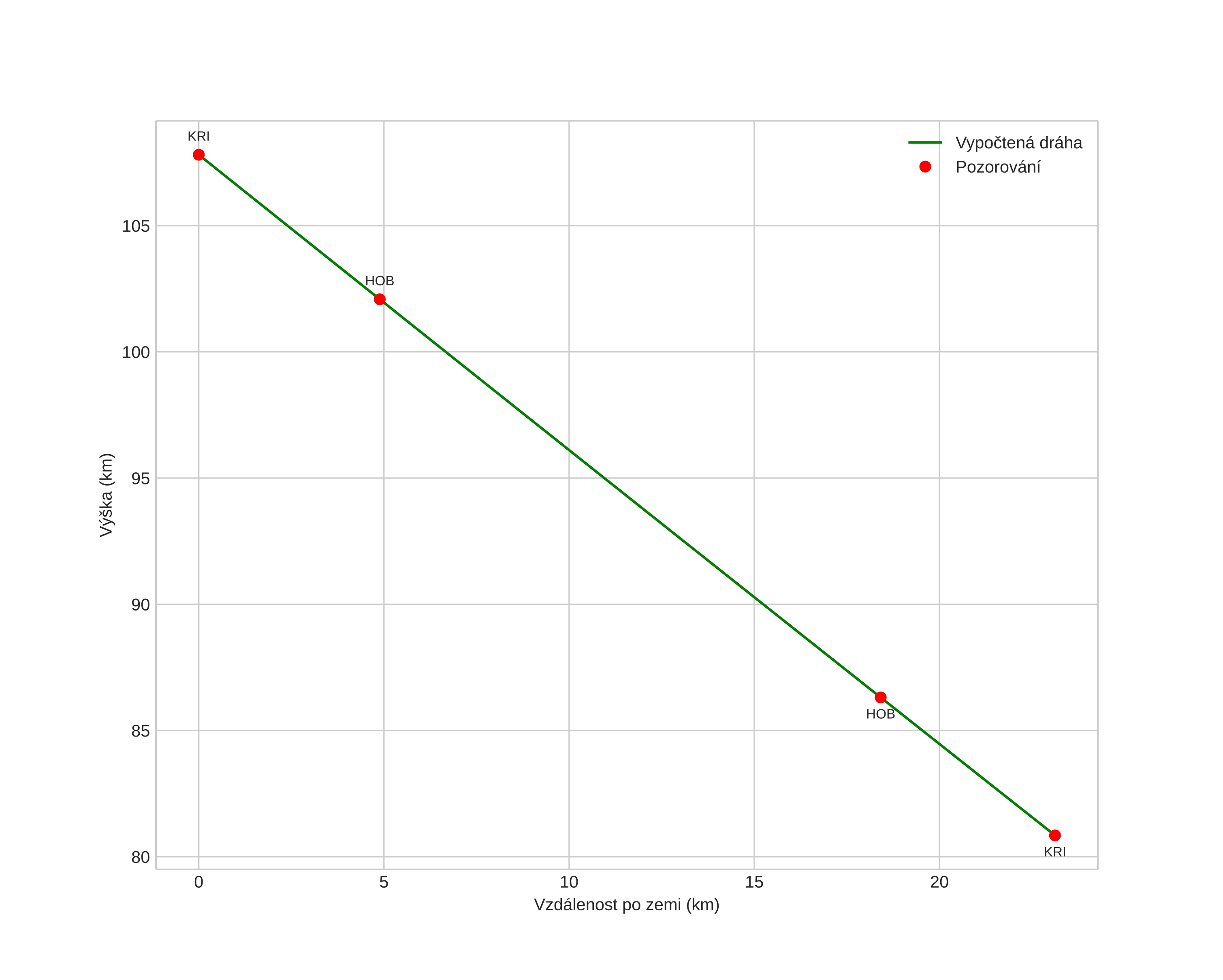
height profile
Atmosférická dráha meteoru:
Počáteční výška: 116,0 km
Konečná výška: 78,2 km
Počáteční poloha: 57,876N 10,734E
Konečná poloha: 57,711N 10,278E
Směr: 236,1°
Sklon: 49,2°
VstupnĂ­ rychlost: 68,2 km/s
Rektascenze radiantu: 03:12 (48,1°)
Deklinace radiantu: 56,5°
MeteorickĂ˝ roj: Perseidy
Elementy dráhy meteoroidu:
Vzdálenost v periheliu: 0,981 AU
Excentricita: 1,567
Sklon dráhy: 120,1°
Délka vzestupného uzlu: 142,1°
Argument perihelia: 161,5°
Střední anomálie: 5,1°
Epocha: 2021 AUG 14 23:35:09
orbit plot

NeinteraktivnĂ­ graf | InteraktivnĂ­ graf

position vs time
speed and acceleration