🇳🇴 🇬🇧 🇩🇪 🇨🇿 🇫🇮

Meteor, poloha: Vikersund 2021-08-16 23:29:16 UTC

Soubor KML  |  InteraktivnĂ­ mapa

Mapa zobrazuje dráhy meteoru. Světlejší čáry ukazují směry od pozorovacích stanic při objevení se meteoru a tmavší čáry, kde byl naposledy viděn. Modrá šipka značí viditelnou dráhu meteoru.

static map
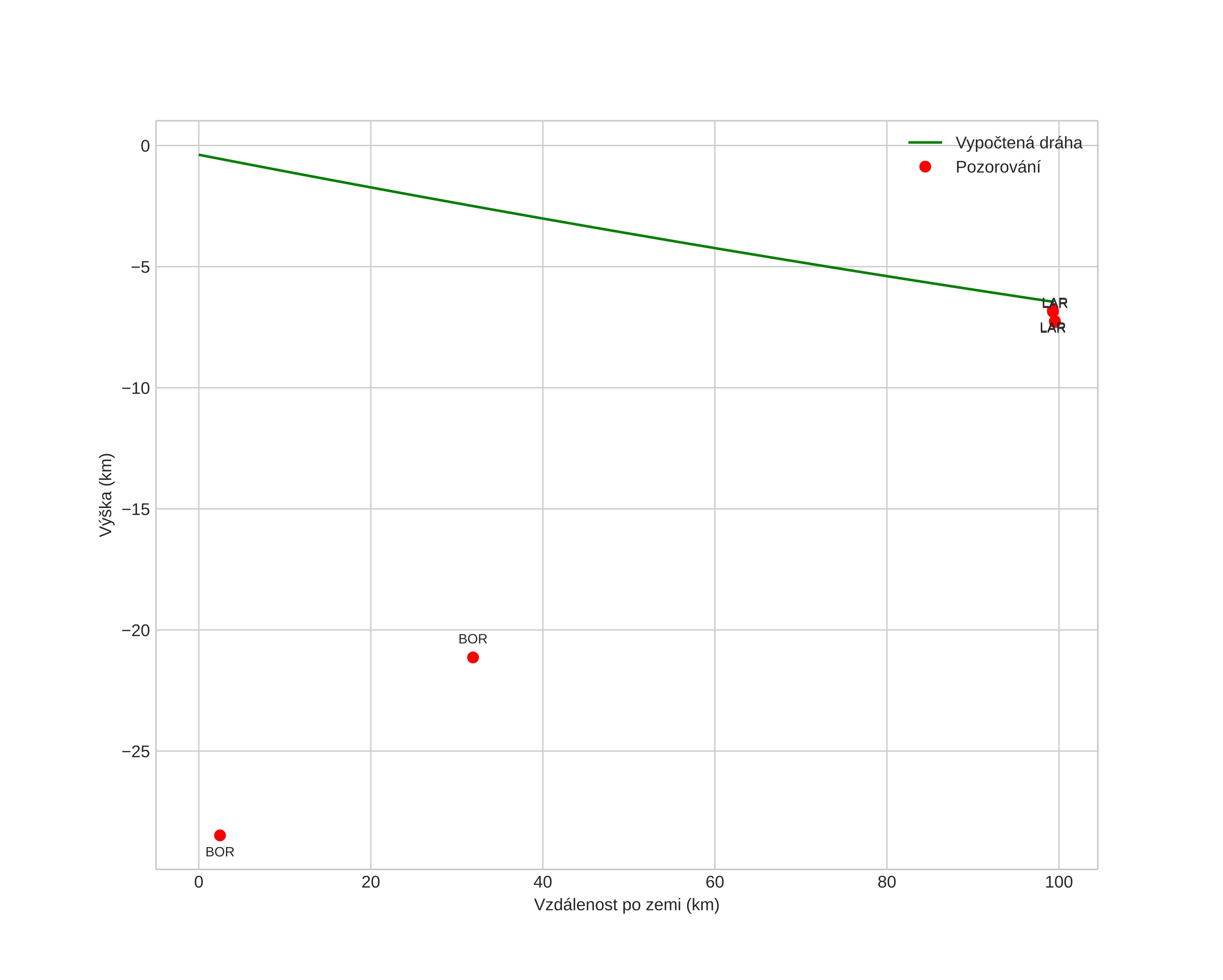
height profile
Atmosférická dráha meteoru:
Počáteční výška: -6,5 km
Konečná výška: -0,3 km
Počáteční poloha: 59,054N 9,985E
Konečná poloha: 59,947N 10,072E
Směr: 2,8°
Sklon: -3,6°
VstupnĂ­ rychlost: 0,8 km/s
position vs time
speed and acceleration