🇳🇴 🇬🇧 🇩🇪 🇨🇿 🇫🇮

Meteor, poloha: Kinsarvik 2021-08-18 01:57:15 UTC

Soubor KML  |  InteraktivnĂ­ mapa

Mapa zobrazuje dráhy meteoru. Světlejší čáry ukazují směry od pozorovacích stanic při objevení se meteoru a tmavší čáry, kde byl naposledy viděn. Modrá šipka značí viditelnou dráhu meteoru.

static map
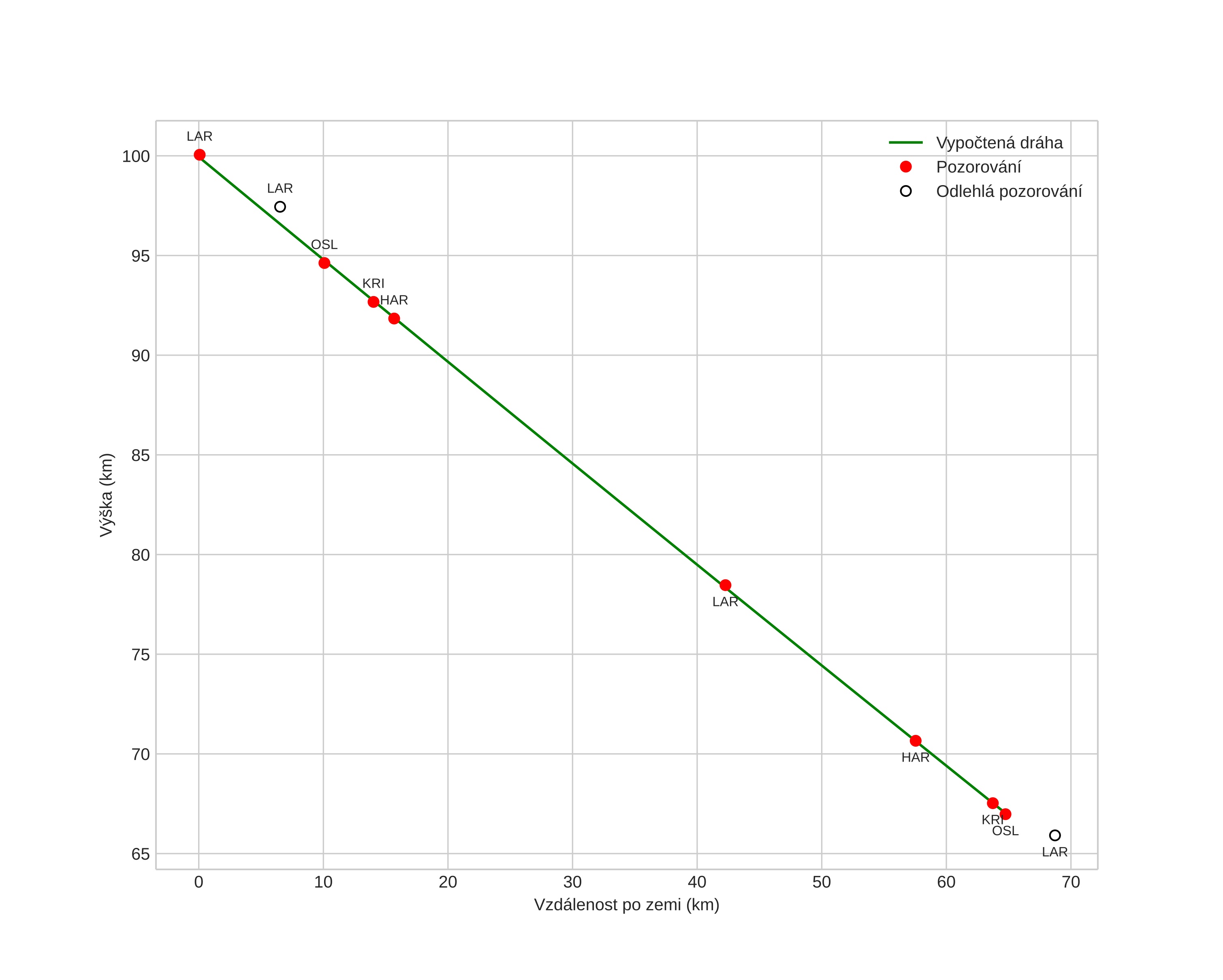
height profile
Atmosférická dráha meteoru:
Počáteční výška: 102,2 km
Konečná výška: 66,6 km
Počáteční poloha: 59,768N 6,144E
Konečná poloha: 60,369N 6,518E
Směr: 17,1°
Sklon: 26,9°
VstupnĂ­ rychlost: 38,0 km/s
Rektascenze radiantu: 23:04 (346,0°)
Deklinace radiantu: -3,8°
MeteorickĂ˝ roj: sporadickĂ˝
Elementy dráhy meteoroidu:
Vzdálenost v periheliu: 0,164 AU
Excentricita: 0,947
Sklon dráhy: 4,3°
Délka vzestupného uzlu: 145,1°
Argument perihelia: 316,2°
Střední anomálie: 353,4°
Epocha: 2021 AUG 18 01:57:15
orbit plot

NeinteraktivnĂ­ graf | InteraktivnĂ­ graf

position vs time
speed and acceleration