🇳🇴 🇬🇧 🇩🇪 🇨🇿 🇫🇮

Meteor, poloha: Tjøme 2021-08-19 01:03:43 UTC

Soubor KML  |  InteraktivnĂ­ mapa

Mapa zobrazuje dráhy meteoru. Světlejší čáry ukazují směry od pozorovacích stanic při objevení se meteoru a tmavší čáry, kde byl naposledy viděn. Modrá šipka značí viditelnou dráhu meteoru.

static map
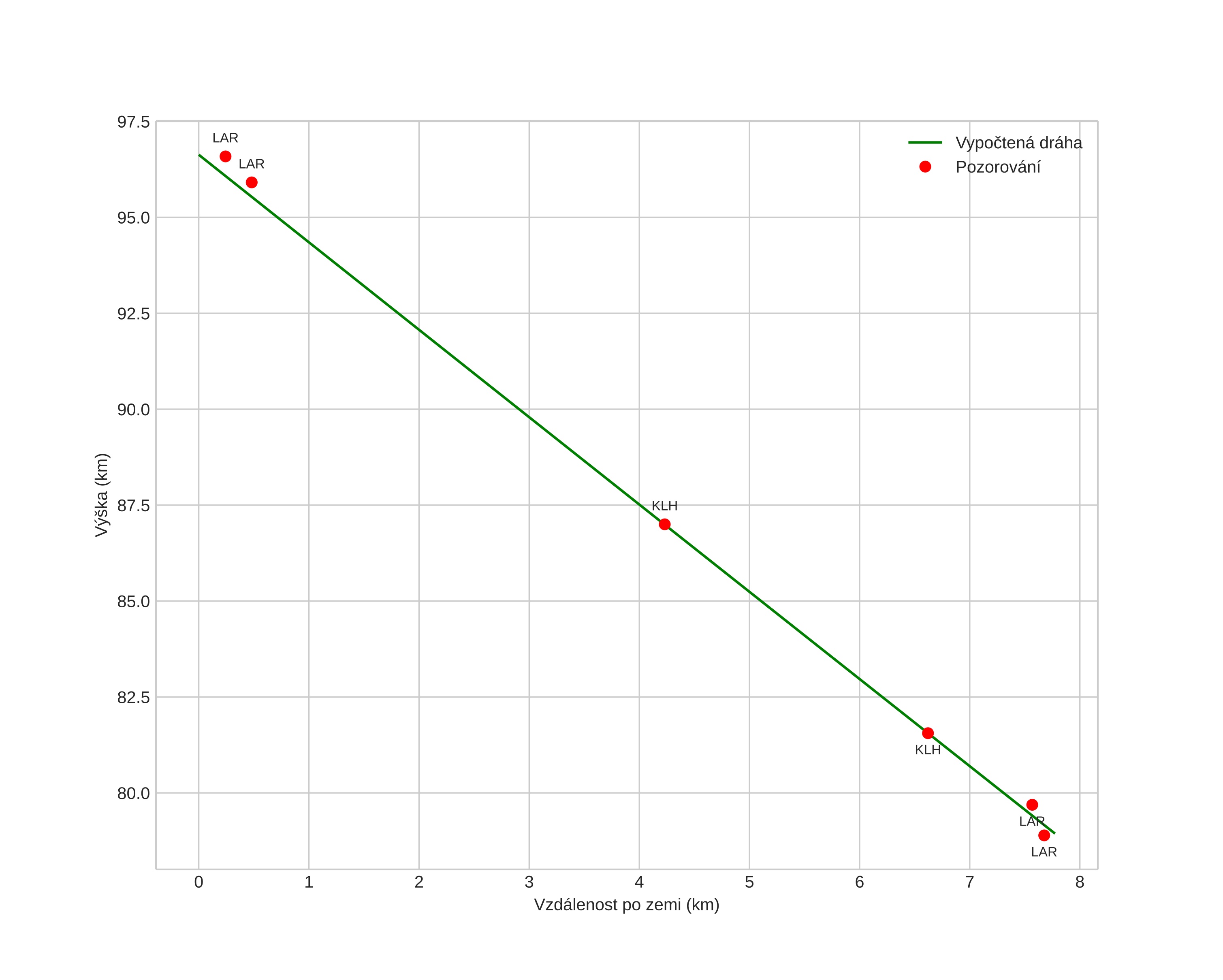
height profile
Atmosférická dráha meteoru:
Počáteční výška: 98,0 km
Konečná výška: 78,9 km
Počáteční poloha: 58,723N 10,447E
Konečná poloha: 58,698N 10,585E
Směr: 109,3°
Sklon: 66,3°
VstupnĂ­ rychlost: 34,5 km/s
Rektascenze radiantu: 20:23 (305,9°)
Deklinace radiantu: 57,7°
MeteorickĂ˝ roj: sporadickĂ˝
Elementy dráhy meteoroidu:
Vzdálenost v periheliu: 0,951 AU
Excentricita: 0,947
Sklon dráhy: 50,8°
Délka vzestupného uzlu: 146,0°
Argument perihelia: 208,8°
Střední anomálie: 359,7°
Epocha: 2021 AUG 19 01:03:43
orbit plot

NeinteraktivnĂ­ graf | InteraktivnĂ­ graf

position vs time
speed and acceleration