🇳🇴 🇬🇧 🇩🇪 🇨🇿 🇫🇮

Meteor, poloha: Ølgod 2021-08-19 20:25:32 UTC

Soubor KML  |  Interaktivní mapa

Mapa zobrazuje dráhy meteoru. Světlejší čáry ukazují směry od pozorovacích stanic při objevení se meteoru a tmavší čáry, kde byl naposledy viděn. Modrá šipka značí viditelnou dráhu meteoru.

static map
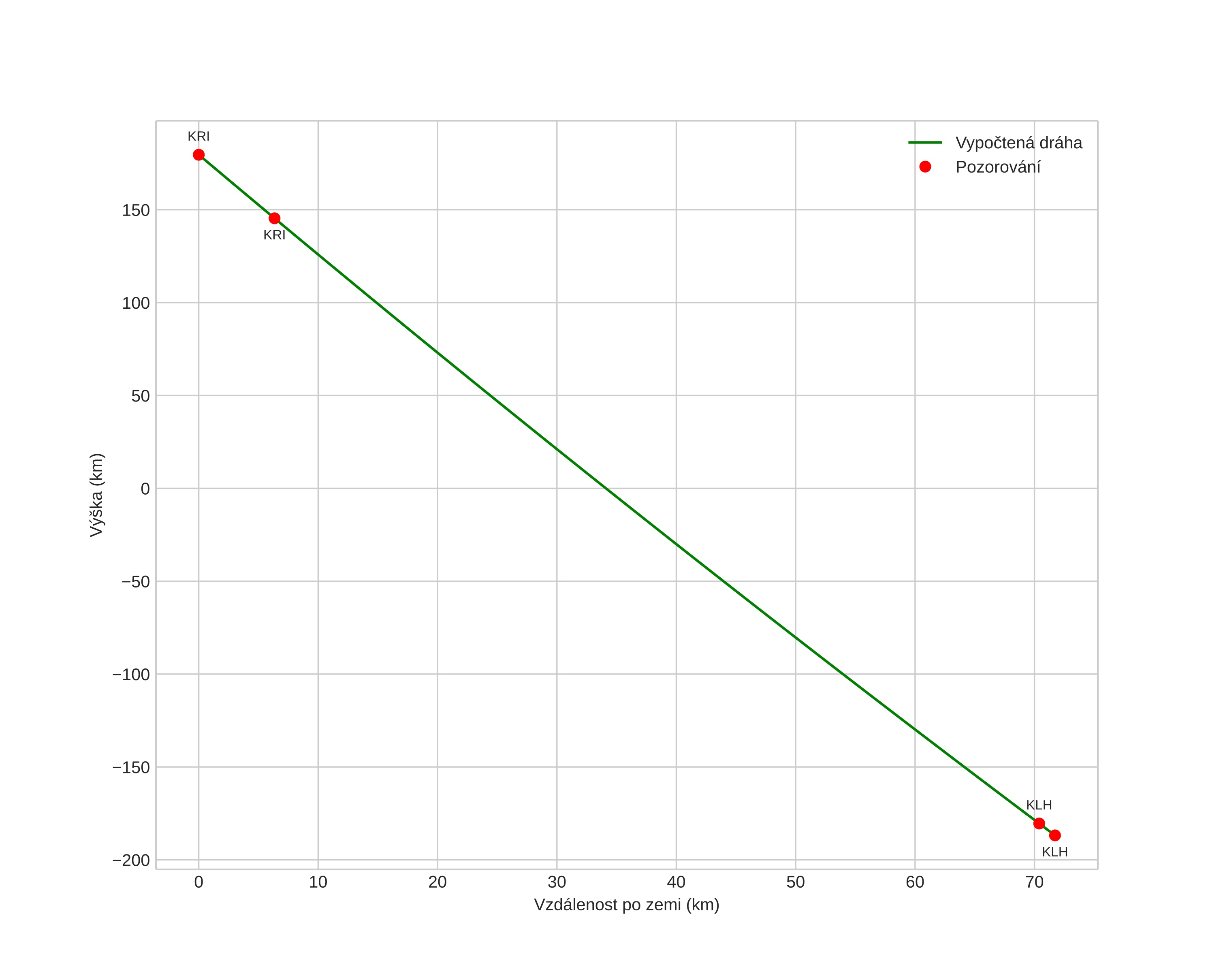
height profile
Atmosférická dráha meteoru:
Počáteční výška: 179,6 km
Konečná výška: -186,8 km
Počáteční poloha: 55,366N 9,321E
Konečná poloha: 55,909N 8,704E
Směr: 327,6°
Sklon: 78,9°
Vstupní rychlost: 55,8 km/s
Rektascenze radiantu: 19:27 (292,0°)
Deklinace radiantu: 45,4°
Meteorický roj: sporadický
Elementy dráhy meteoroidu:
Vzdálenost v periheliu: 0,939 AU
Excentricita: 3,639
Sklon dráhy: 54,2°
Délka vzestupného uzlu: 146,8°
Argument perihelia: 204,8°
Střední anomálie: -51,9°
Epocha: 2021 AUG 19 20:25:32
orbit plot

Neinteraktivní graf | Interaktivní graf

position vs time
speed and acceleration