🇳🇴 🇬🇧 🇩🇪 🇨🇿 🇫🇮

Meteor, poloha: Thyborøn 2021-08-21 01:30:21 UTC

Soubor KML  |  InteraktivnĂ­ mapa

Mapa zobrazuje dráhy meteoru. Světlejší čáry ukazují směry od pozorovacích stanic při objevení se meteoru a tmavší čáry, kde byl naposledy viděn. Modrá šipka značí viditelnou dráhu meteoru.

static map
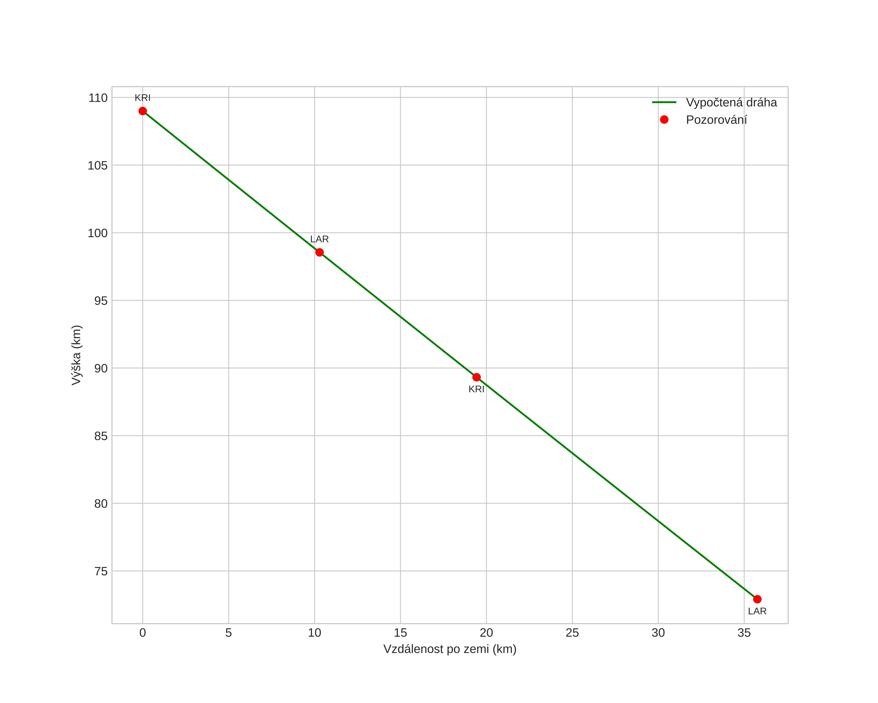
height profile
Atmosférická dráha meteoru:
Počáteční výška: 107,5 km
Konečná výška: 72,6 km
Počáteční poloha: 57,107N 7,714E
Konečná poloha: 56,832N 7,980E
Směr: 152,1°
Sklon: 45,3°
VstupnĂ­ rychlost: 34,6 km/s
Rektascenze radiantu: 16:22 (245,7°)
Deklinace radiantu: 67,9°
MeteorickĂ˝ roj: sporadickĂ˝
Elementy dráhy meteoroidu:
Vzdálenost v periheliu: 1,001 AU
Excentricita: 1,287
Sklon dráhy: 46,6°
Délka vzestupného uzlu: 147,9°
Argument perihelia: 168,9°
Střední anomálie: 1,1°
Epocha: 2021 AUG 21 01:30:21
orbit plot

NeinteraktivnĂ­ graf | InteraktivnĂ­ graf

position vs time
speed and acceleration