🇳🇴 🇬🇧 🇩🇪 🇨🇿 🇫🇮

Meteor, poloha: Grenaa 2021-08-21 22:51:15 UTC

Soubor KML  |  InteraktivnĂ­ mapa

Mapa zobrazuje dráhy meteoru. Světlejší čáry ukazují směry od pozorovacích stanic při objevení se meteoru a tmavší čáry, kde byl naposledy viděn. Modrá šipka značí viditelnou dráhu meteoru.

static map
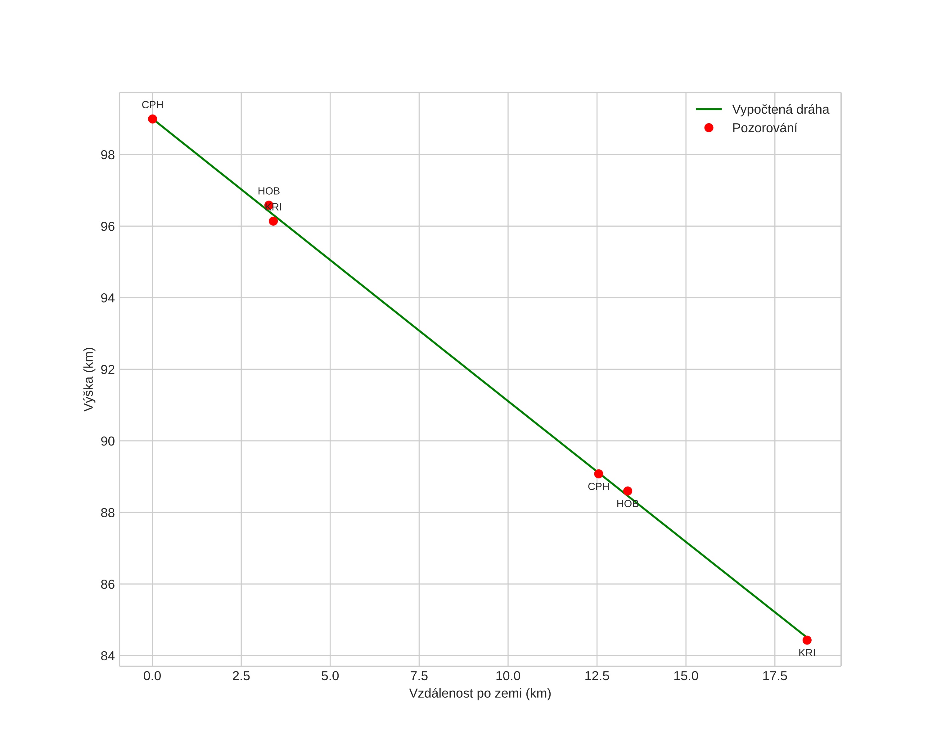
height profile
Atmosférická dráha meteoru:
Počáteční výška: 99,5 km
Konečná výška: 84,9 km
Počáteční poloha: 56,653N 10,780E
Konečná poloha: 56,493N 10,866E
Směr: 163,5°
Sklon: 38,2°
VstupnĂ­ rychlost: 41,5 km/s
Rektascenze radiantu: 12:04 (181,0°)
Deklinace radiantu: 67,6°
MeteorickĂ˝ roj: sporadickĂ˝
Elementy dráhy meteoroidu:
Vzdálenost v periheliu: 0,851 AU
Excentricita: 1,422
Sklon dráhy: 53,8°
Délka vzestupného uzlu: 148,8°
Argument perihelia: 136,8°
Střední anomálie: 8,6°
Epocha: 2021 AUG 21 22:51:15
orbit plot

NeinteraktivnĂ­ graf | InteraktivnĂ­ graf

position vs time
speed and acceleration