🇳🇴 🇬🇧 🇩🇪 🇨🇿 🇫🇮

Meteor, poloha: Tromsø 2021-08-25 21:10:42 UTC

Soubor KML  |  InteraktivnĂ­ mapa

Mapa zobrazuje dráhy meteoru. Světlejší čáry ukazují směry od pozorovacích stanic při objevení se meteoru a tmavší čáry, kde byl naposledy viděn. Modrá šipka značí viditelnou dráhu meteoru.

static map
height profile
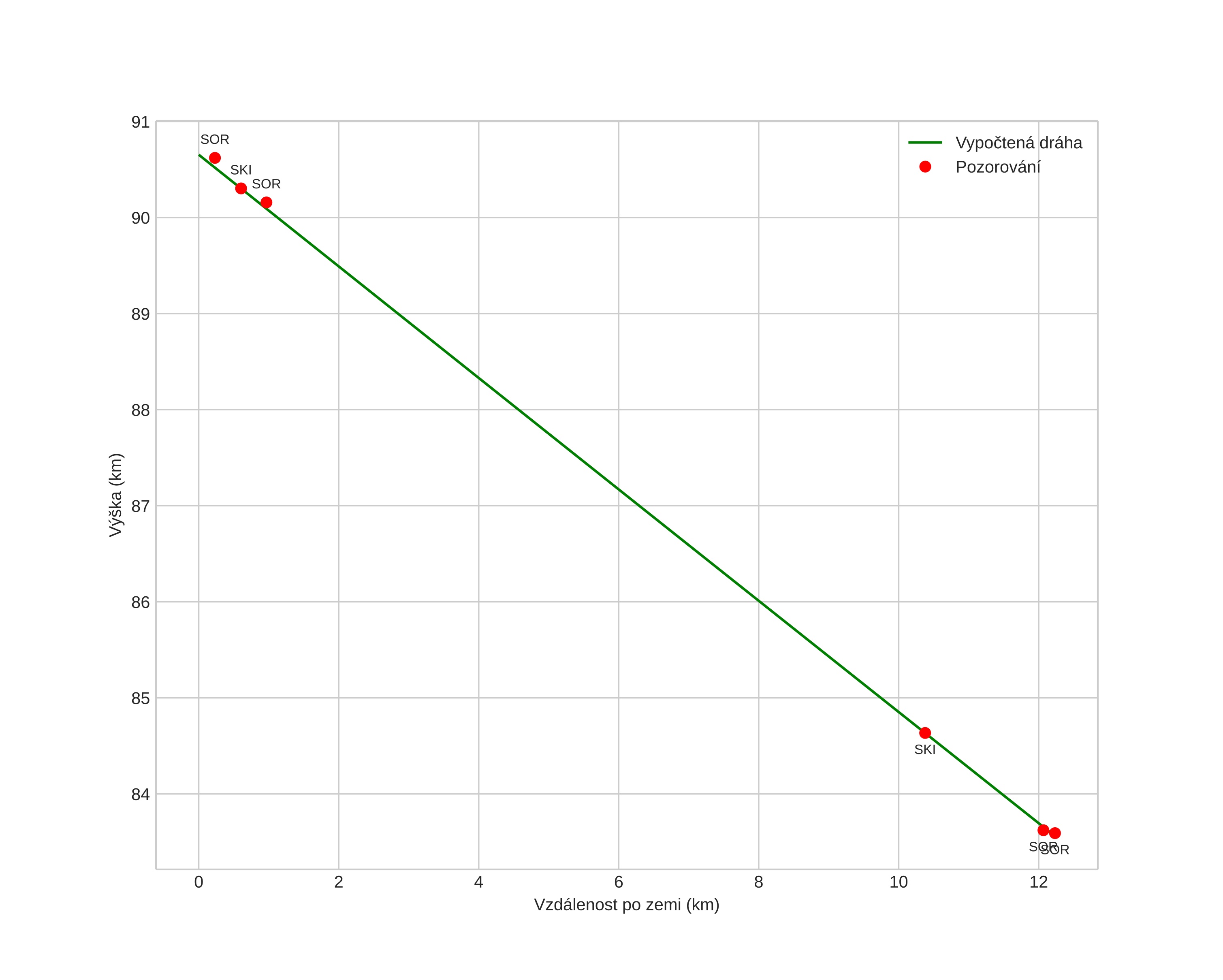
Atmosférická dráha meteoru:
Počáteční výška: 91,0 km
Konečná výška: 83,7 km
Počáteční poloha: 69,560N 18,661E
Konečná poloha: 69,672N 18,693E
Směr: 5,7°
Sklon: 30,3°
VstupnĂ­ rychlost: 20,2 km/s
Rektascenze radiantu: 20:18 (304,7°)
Deklinace radiantu: 3,9°
MeteorickĂ˝ roj: sporadickĂ˝
Elementy dráhy meteoroidu:
Vzdálenost v periheliu: 0,855 AU
Excentricita: 0,797
Sklon dráhy: 10,4°
Délka vzestupného uzlu: 152,6°
Argument perihelia: 229,3°
Střední anomálie: 356,2°
Epocha: 2021 AUG 25 21:10:42
orbit plot

NeinteraktivnĂ­ graf | InteraktivnĂ­ graf

position vs time
speed and acceleration