🇳🇴 🇬🇧 🇩🇪 🇨🇿 🇫🇮

Meteor, poloha: Lampeland 2021-08-26 02:39:44 UTC

Soubor KML  |  InteraktivnĂ­ mapa

Mapa zobrazuje dráhy meteoru. Světlejší čáry ukazují směry od pozorovacích stanic při objevení se meteoru a tmavší čáry, kde byl naposledy viděn. Modrá šipka značí viditelnou dráhu meteoru.

static map
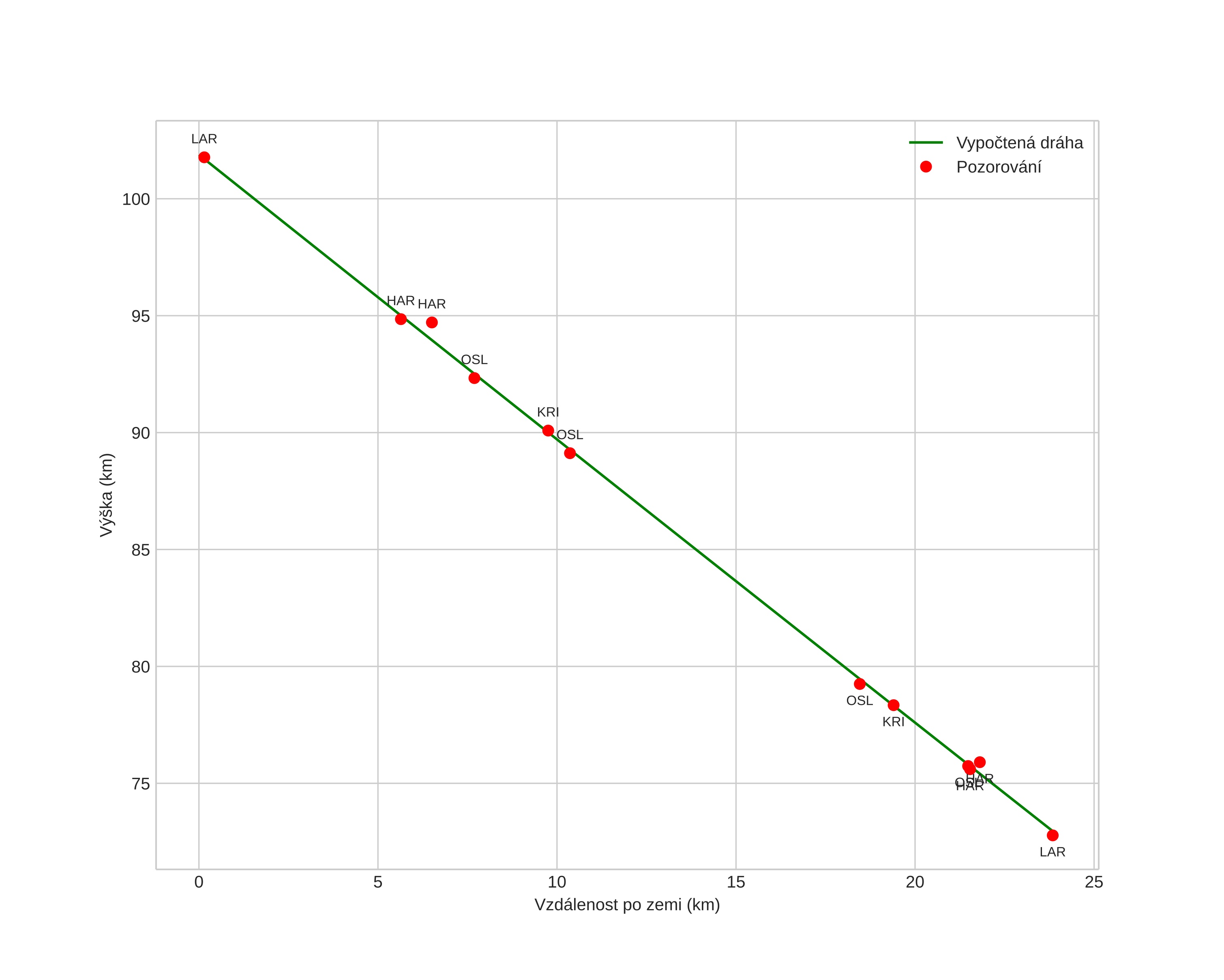
height profile
Atmosférická dráha meteoru:
Počáteční výška: 98,7 km
Konečná výška: 69,7 km
Počáteční poloha: 59,941N 9,306E
Konečná poloha: 59,778N 9,589E
Směr: 138,8°
Sklon: 50,3°
VstupnĂ­ rychlost: 27,9 km/s
Rektascenze radiantu: 19:07 (286,8°)
Deklinace radiantu: 63,4°
MeteorickĂ˝ roj: sporadickĂ˝
Elementy dráhy meteoroidu:
Vzdálenost v periheliu: 0,999 AU
Excentricita: 0,706
Sklon dráhy: 41,6°
Délka vzestupného uzlu: 152,8°
Argument perihelia: 193,6°
Střední anomálie: 358,3°
Epocha: 2021 AUG 26 02:39:44
orbit plot

NeinteraktivnĂ­ graf | InteraktivnĂ­ graf

position vs time
speed and acceleration