🇳🇴 🇬🇧 🇩🇪 🇨🇿 🇫🇮

Meteor, poloha: Kristiansund 2021-08-26 20:50:08 UTC

Soubor KML  |  InteraktivnĂ­ mapa

Mapa zobrazuje dráhy meteoru. Světlejší čáry ukazují směry od pozorovacích stanic při objevení se meteoru a tmavší čáry, kde byl naposledy viděn. Modrá šipka značí viditelnou dráhu meteoru.

static map
height profile
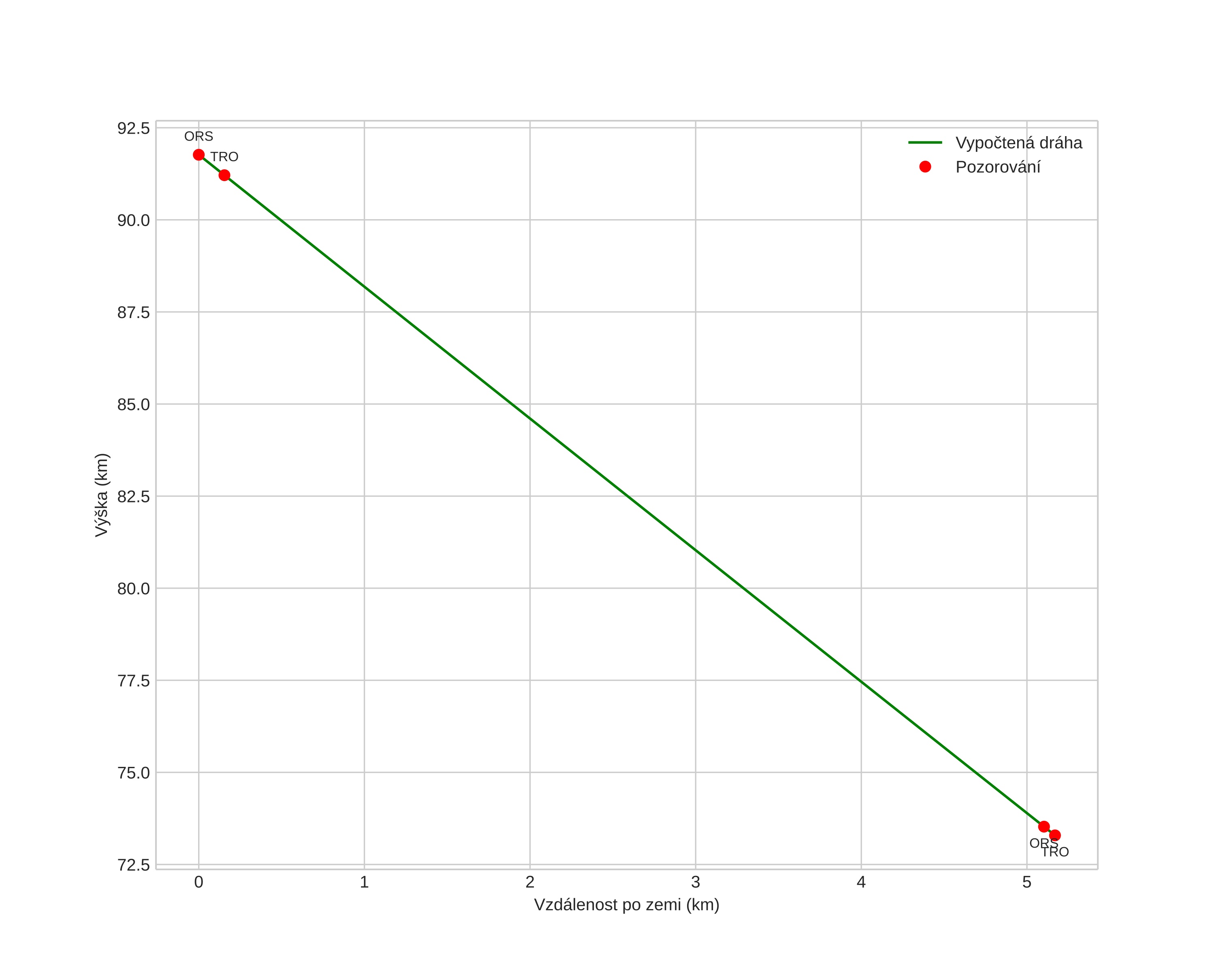
Atmosférická dráha meteoru:
Počáteční výška: 91,9 km
Konečná výška: 73,1 km
Počáteční poloha: 63,395N 7,568E
Konečná poloha: 63,397N 7,671E
Směr: 87,0°
Sklon: 74,7°
VstupnĂ­ rychlost: 22,6 km/s
Rektascenze radiantu: 17:28 (262,1°)
Deklinace radiantu: 58,0°
MeteorickĂ˝ roj: sporadickĂ˝
Elementy dráhy meteoroidu:
Vzdálenost v periheliu: 1,010 AU
Excentricita: 0,649
Sklon dráhy: 30,8°
Délka vzestupného uzlu: 153,5°
Argument perihelia: 181,4°
Střední anomálie: 359,8°
Epocha: 2021 AUG 26 20:50:08
orbit plot

NeinteraktivnĂ­ graf | InteraktivnĂ­ graf

position vs time
speed and acceleration