🇳🇴 🇬🇧 🇩🇪 🇨🇿 🇫🇮

Meteor, poloha: Storslett 2021-08-26 21:05:03 UTC

Soubor KML  |  InteraktivnĂ­ mapa

Mapa zobrazuje dráhy meteoru. Světlejší čáry ukazují směry od pozorovacích stanic při objevení se meteoru a tmavší čáry, kde byl naposledy viděn. Modrá šipka značí viditelnou dráhu meteoru.

static map
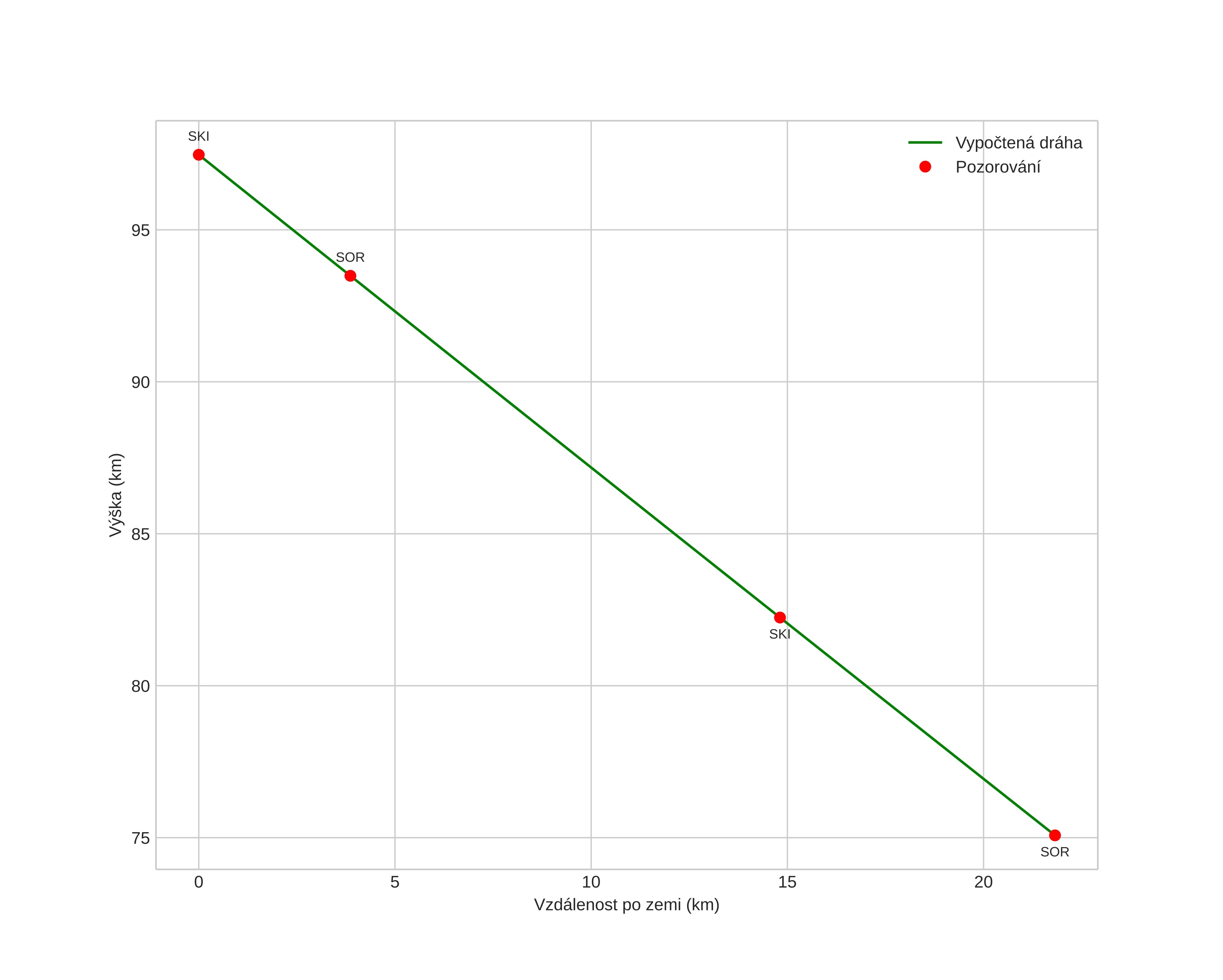
height profile
Atmosférická dráha meteoru:
Počáteční výška: 100,2 km
Konečná výška: 77,1 km
Počáteční poloha: 69,494N 21,003E
Konečná poloha: 69,470N 21,480E
Směr: 98,0°
Sklon: 50,9°
VstupnĂ­ rychlost: 22,3 km/s
Rektascenze radiantu: 15:47 (236,9°)
Deklinace radiantu: 46,5°
MeteorickĂ˝ roj: sporadickĂ˝
Elementy dráhy meteoroidu:
Vzdálenost v periheliu: 1,000 AU
Excentricita: 0,919
Sklon dráhy: 25,3°
Délka vzestupného uzlu: 153,5°
Argument perihelia: 168,1°
Střední anomálie: 0,2°
Epocha: 2021 AUG 26 21:05:03
orbit plot

NeinteraktivnĂ­ graf | InteraktivnĂ­ graf

position vs time
speed and acceleration