🇳🇴 🇬🇧 🇩🇪 🇨🇿 🇫🇮

Meteor, poloha: Nordstranda 2021-08-26 21:36:22 UTC

Soubor KML  |  InteraktivnĂ­ mapa

Mapa zobrazuje dráhy meteoru. Světlejší čáry ukazují směry od pozorovacích stanic při objevení se meteoru a tmavší čáry, kde byl naposledy viděn. Modrá šipka značí viditelnou dráhu meteoru.

static map
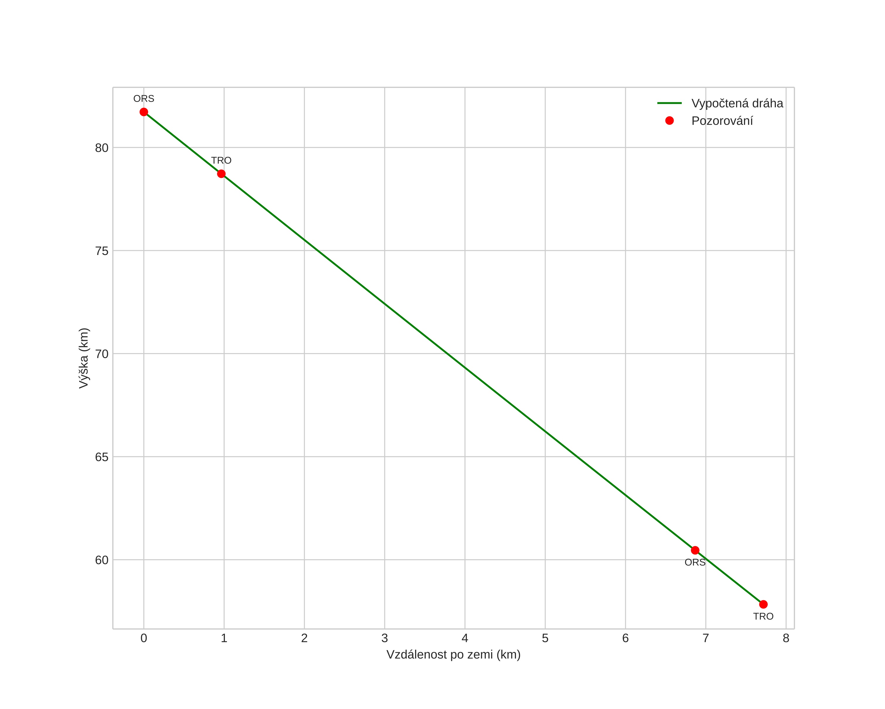
height profile
Atmosférická dráha meteoru:
Počáteční výška: 82,1 km
Konečná výška: 60,9 km
Počáteční poloha: 63,346N 5,736E
Konečná poloha: 63,318N 5,861E
Směr: 116,4°
Sklon: 71,8°
VstupnĂ­ rychlost: 25,3 km/s
Rektascenze radiantu: 17:17 (259,3°)
Deklinace radiantu: 65,0°
MeteorickĂ˝ roj: sporadickĂ˝
Elementy dráhy meteoroidu:
Vzdálenost v periheliu: 1,010 AU
Excentricita: 0,659
Sklon dráhy: 36,5°
Délka vzestupného uzlu: 153,6°
Argument perihelia: 176,1°
Střední anomálie: 0,6°
Epocha: 2021 AUG 26 21:36:22
orbit plot

NeinteraktivnĂ­ graf | InteraktivnĂ­ graf

position vs time
speed and acceleration