🇳🇴 🇬🇧 🇩🇪 🇨🇿 🇫🇮

Meteor, poloha: Ebeltoft 2021-08-29 20:44:41 UTC

Soubor KML  |  InteraktivnĂ­ mapa

Mapa zobrazuje dráhy meteoru. Světlejší čáry ukazují směry od pozorovacích stanic při objevení se meteoru a tmavší čáry, kde byl naposledy viděn. Modrá šipka značí viditelnou dráhu meteoru.

static map
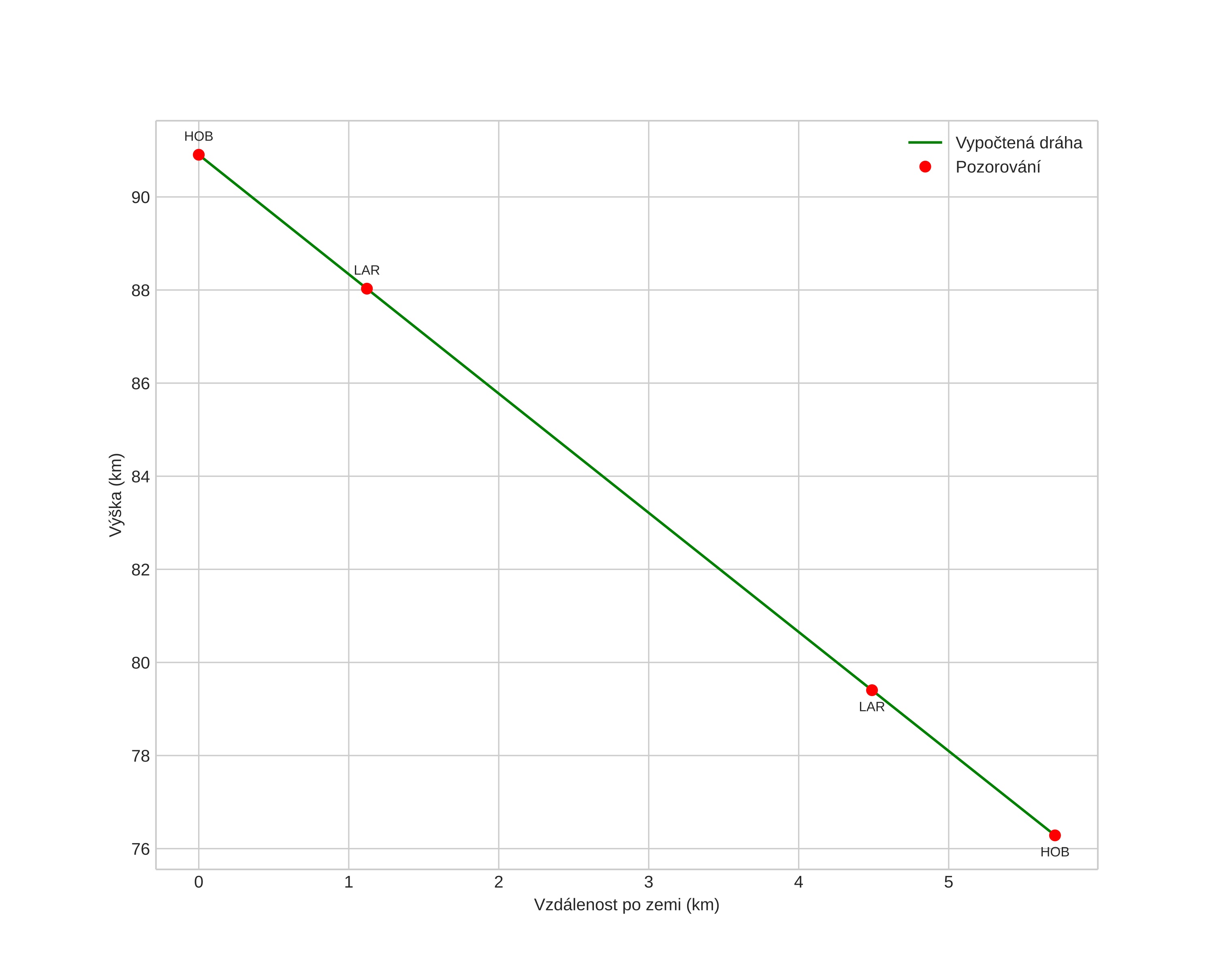
height profile
Atmosférická dráha meteoru:
Počáteční výška: 90,4 km
Konečná výška: 75,5 km
Počáteční poloha: 56,229N 10,650E
Konečná poloha: 56,199N 10,717E
Směr: 127,8°
Sklon: 70,4°
VstupnĂ­ rychlost: 27,8 km/s
Rektascenze radiantu: 17:21 (260,3°)
Deklinace radiantu: 63,5°
MeteorickĂ˝ roj: sporadickĂ˝
Elementy dráhy meteoroidu:
Vzdálenost v periheliu: 1,009 AU
Excentricita: 0,863
Sklon dráhy: 39,1°
Délka vzestupného uzlu: 156,4°
Argument perihelia: 177,3°
Střední anomálie: 0,1°
Epocha: 2021 AUG 29 20:44:41
orbit plot

NeinteraktivnĂ­ graf | InteraktivnĂ­ graf

position vs time
speed and acceleration