🇳🇴 🇬🇧 🇩🇪 🇨🇿 🇫🇮

Meteor, poloha: Mandal 2021-08-30 19:32:47 UTC

Soubor KML  |  Interaktivní mapa

Mapa zobrazuje dráhy meteoru. Světlejší čáry ukazují směry od pozorovacích stanic při objevení se meteoru a tmavší čáry, kde byl naposledy viděn. Modrá šipka značí viditelnou dráhu meteoru.

static map
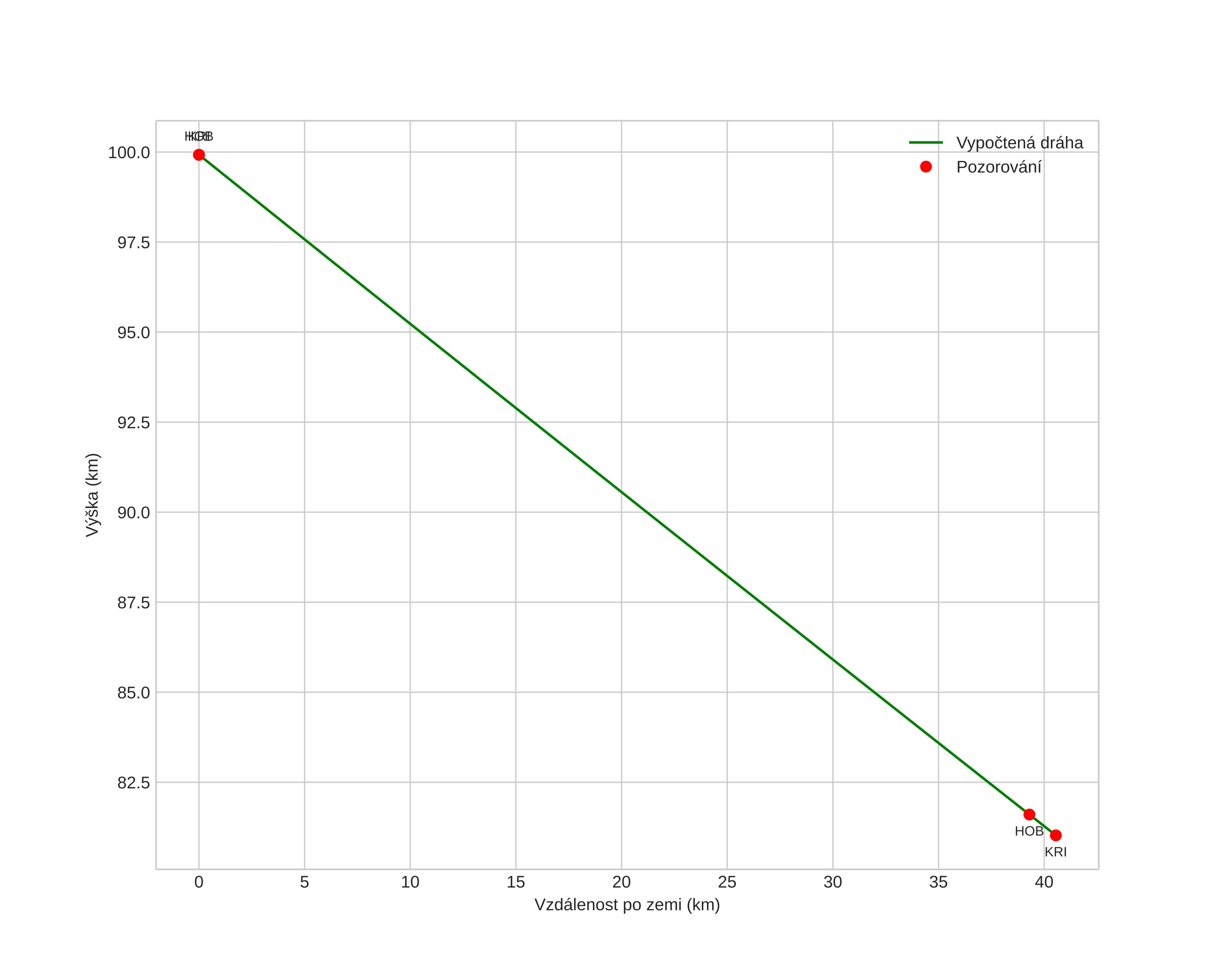
height profile
Atmosférická dráha meteoru:
Počáteční výška: 101,2 km
Konečná výška: 81,4 km
Počáteční poloha: 57,513N 8,163E
Konečná poloha: 57,574N 7,466E
Směr: 279,6°
Sklon: 25,2°
Vstupní rychlost: 51,9 km/s
Rektascenze radiantu: 23:15 (348,8°)
Deklinace radiantu: 15,3°
Meteorický roj: sporadický
Elementy dráhy meteoroidu:
Vzdálenost v periheliu: 0,237 AU
Excentricita: 1,212
Sklon dráhy: 48,4°
Délka vzestupného uzlu: 157,3°
Argument perihelia: 293,3°
Střední anomálie: -25,5°
Epocha: 2021 AUG 30 19:32:47
orbit plot

Neinteraktivní graf | Interaktivní graf

position vs time
speed and acceleration