🇳🇴 🇬🇧 🇩🇪 🇨🇿 🇫🇮

Meteor, poloha: Ebeltoft 2021-08-31 21:20:52 UTC

Soubor KML  |  InteraktivnĂ­ mapa

Mapa zobrazuje dráhy meteoru. Světlejší čáry ukazují směry od pozorovacích stanic při objevení se meteoru a tmavší čáry, kde byl naposledy viděn. Modrá šipka značí viditelnou dráhu meteoru.

static map
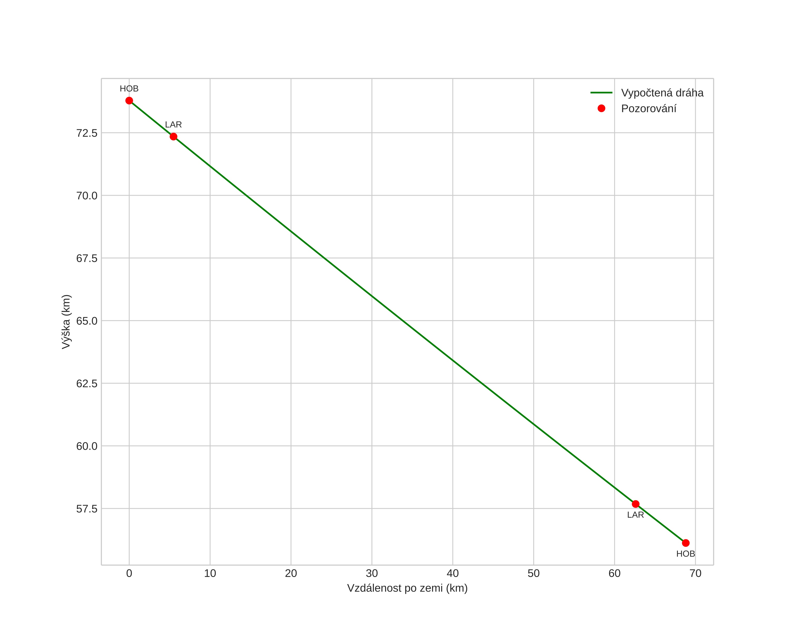
height profile
Atmosférická dráha meteoru:
Počáteční výška: 73,0 km
Konečná výška: 56,9 km
Počáteční poloha: 55,727N 10,031E
Konečná poloha: 56,070N 10,946E
Směr: 55,9°
Sklon: 13,2°
VstupnĂ­ rychlost: 15,4 km/s
Rektascenze radiantu: 16:29 (247,3°)
Deklinace radiantu: -20,5°
MeteorickĂ˝ roj: sporadickĂ˝
Elementy dráhy meteoroidu:
Vzdálenost v periheliu: 1,009 AU
Excentricita: 0,865
Sklon dráhy: 0,4°
Délka vzestupného uzlu: 158,5°
Argument perihelia: 181,4°
Střední anomálie: 359,9°
Epocha: 2021 AUG 31 21:20:52
orbit plot

NeinteraktivnĂ­ graf | InteraktivnĂ­ graf

position vs time
speed and acceleration