🇳🇴 🇬🇧 🇩🇪 🇨🇿 🇫🇮

Meteor, poloha: Hvide Sande 2021-08-31 22:29:03 UTC

Soubor KML  |  InteraktivnĂ­ mapa

Mapa zobrazuje dráhy meteoru. Světlejší čáry ukazují směry od pozorovacích stanic při objevení se meteoru a tmavší čáry, kde byl naposledy viděn. Modrá šipka značí viditelnou dráhu meteoru.

static map
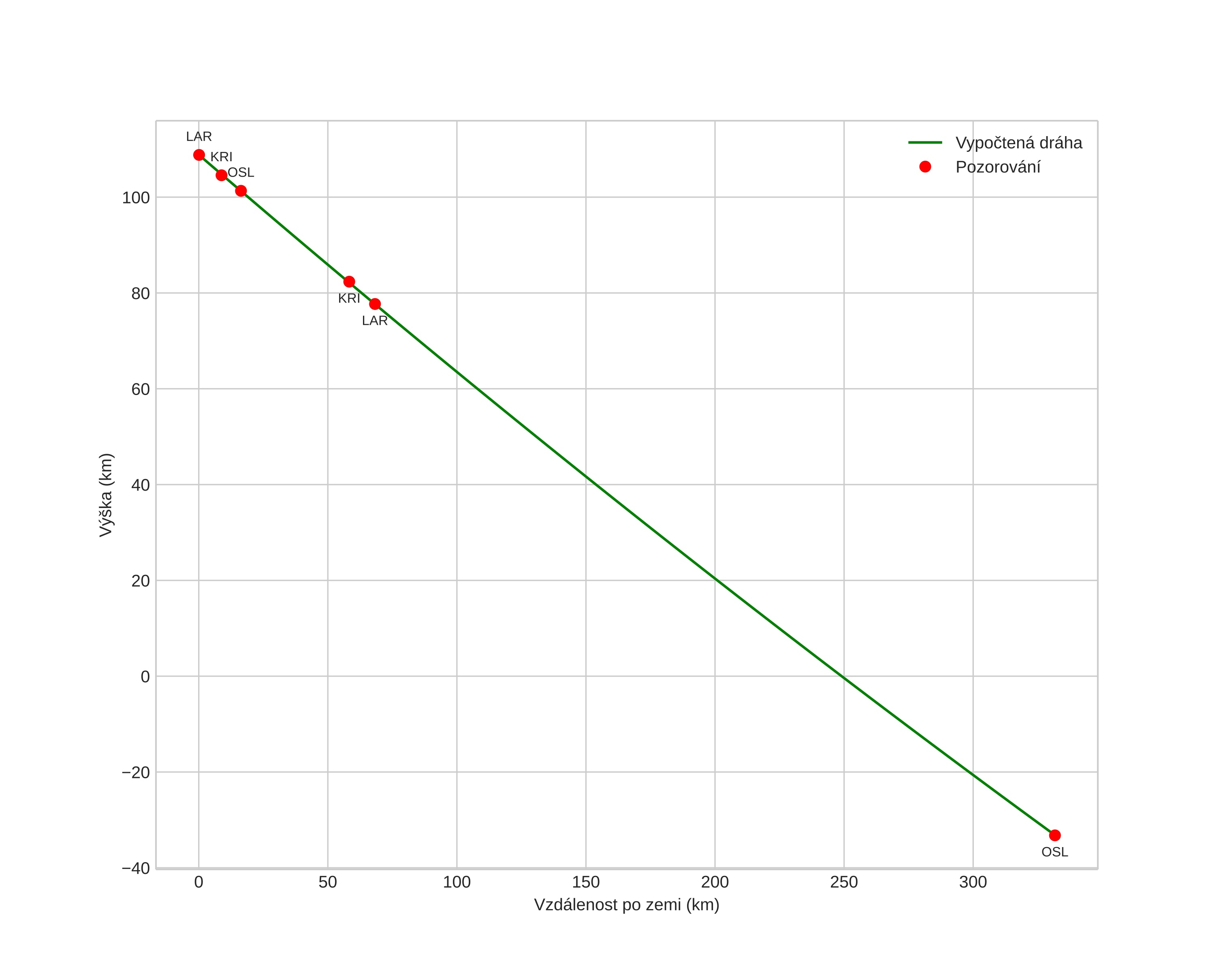
height profile
Atmosférická dráha meteoru:
Počáteční výška: 111,9 km
Konečná výška: 88,6 km
Počáteční poloha: 56,268N 6,807E
Konečná poloha: 55,690N 5,951E
Směr: 220,0°
Sklon: 15,6°
VstupnĂ­ rychlost: 64,3 km/s
Rektascenze radiantu: 06:05 (91,3°)
Deklinace radiantu: 38,8°
MeteorickĂ˝ roj: alpha-aurigidene
Elementy dráhy meteoroidu:
Vzdálenost v periheliu: 0,622 AU
Excentricita: 0,839
Sklon dráhy: 147,9°
Délka vzestupného uzlu: 158,4°
Argument perihelia: 99,1°
Střední anomálie: 5,5°
Epocha: 2021 AUG 31 22:29:03
orbit plot

NeinteraktivnĂ­ graf | InteraktivnĂ­ graf

position vs time
speed and acceleration