🇳🇴 🇬🇧 🇩🇪 🇨🇿 🇫🇮

Meteor, poloha: Skagen 2021-08-31 23:11:29 UTC

Soubor KML  |  InteraktivnĂ­ mapa

Mapa zobrazuje dráhy meteoru. Světlejší čáry ukazují směry od pozorovacích stanic při objevení se meteoru a tmavší čáry, kde byl naposledy viděn. Modrá šipka značí viditelnou dráhu meteoru.

static map
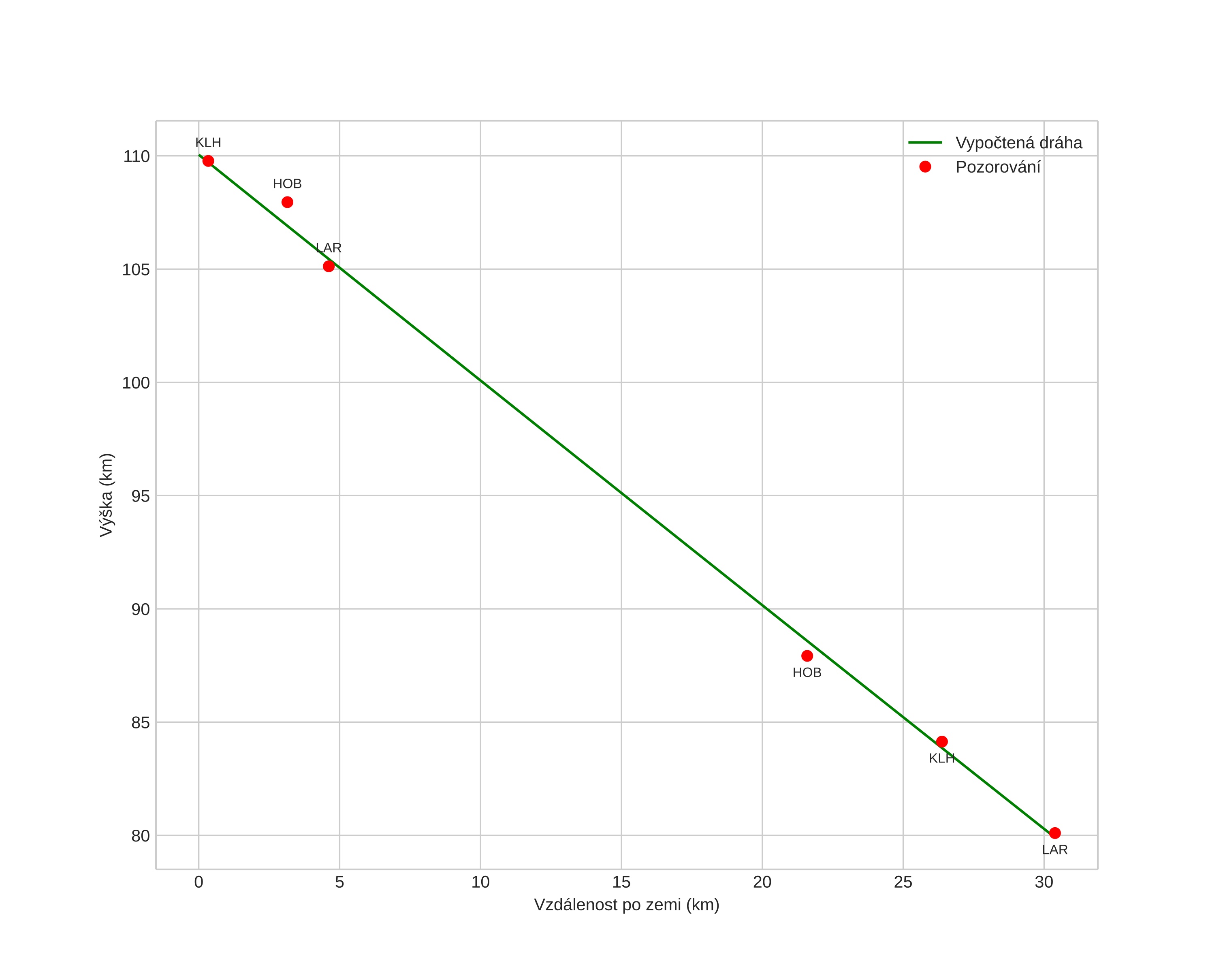
height profile
Atmosférická dráha meteoru:
Počáteční výška: 110,2 km
Konečná výška: 79,9 km
Počáteční poloha: 57,937N 11,082E
Konečná poloha: 57,991N 10,572E
Směr: 281,6°
Sklon: 44,7°
VstupnĂ­ rychlost: 63,7 km/s
Rektascenze radiantu: 02:14 (33,6°)
Deklinace radiantu: 31,0°
MeteorickĂ˝ roj: sporadickĂ˝
Elementy dráhy meteoroidu:
Vzdálenost v periheliu: 0,534 AU
Excentricita: 0,930
Sklon dráhy: 143,6°
Délka vzestupného uzlu: 158,5°
Argument perihelia: 268,7°
Střední anomálie: 358,1°
Epocha: 2021 AUG 31 23:11:29
orbit plot

NeinteraktivnĂ­ graf | InteraktivnĂ­ graf

position vs time
speed and acceleration