🇳🇴 🇬🇧 🇩🇪 🇨🇿 🇫🇮

Meteor, poloha: Hirtshals 2021-09-03 00:34:54 UTC

Soubor KML  |  InteraktivnĂ­ mapa

Mapa zobrazuje dráhy meteoru. Světlejší čáry ukazují směry od pozorovacích stanic při objevení se meteoru a tmavší čáry, kde byl naposledy viděn. Modrá šipka značí viditelnou dráhu meteoru.

static map
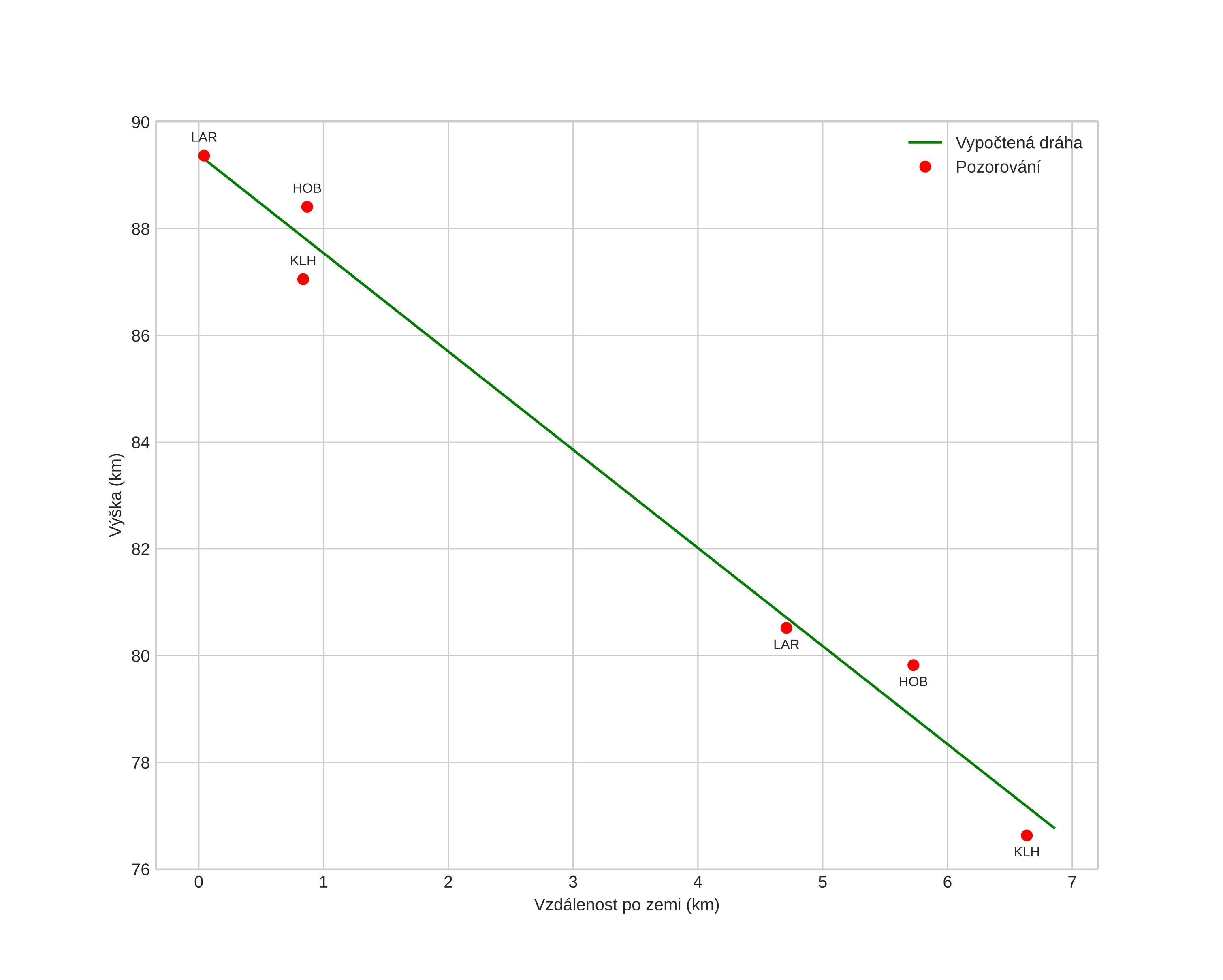
height profile
Atmosférická dráha meteoru:
Počáteční výška: 89,4 km
Konečná výška: 77,2 km
Počáteční poloha: 57,666N 9,755E
Konečná poloha: 57,629N 9,841E
Směr: 128,7°
Sklon: 61,7°
VstupnĂ­ rychlost: 28,2 km/s
Rektascenze radiantu: 19:53 (298,5°)
Deklinace radiantu: 63,6°
MeteorickĂ˝ roj: sporadickĂ˝
Elementy dráhy meteoroidu:
Vzdálenost v periheliu: 0,981 AU
Excentricita: 0,656
Sklon dráhy: 42,5°
Délka vzestupného uzlu: 160,5°
Argument perihelia: 201,5°
Střední anomálie: 356,6°
Epocha: 2021 SEP 03 00:34:54
orbit plot

NeinteraktivnĂ­ graf | InteraktivnĂ­ graf

position vs time
speed and acceleration