🇳🇴 🇬🇧 🇩🇪 🇨🇿 🇫🇮

Meteor, poloha: RĂĄholt 2021-09-06 01:41:06 UTC

Soubor KML  |  InteraktivnĂ­ mapa

Mapa zobrazuje dráhy meteoru. Světlejší čáry ukazují směry od pozorovacích stanic při objevení se meteoru a tmavší čáry, kde byl naposledy viděn. Modrá šipka značí viditelnou dráhu meteoru.

static map
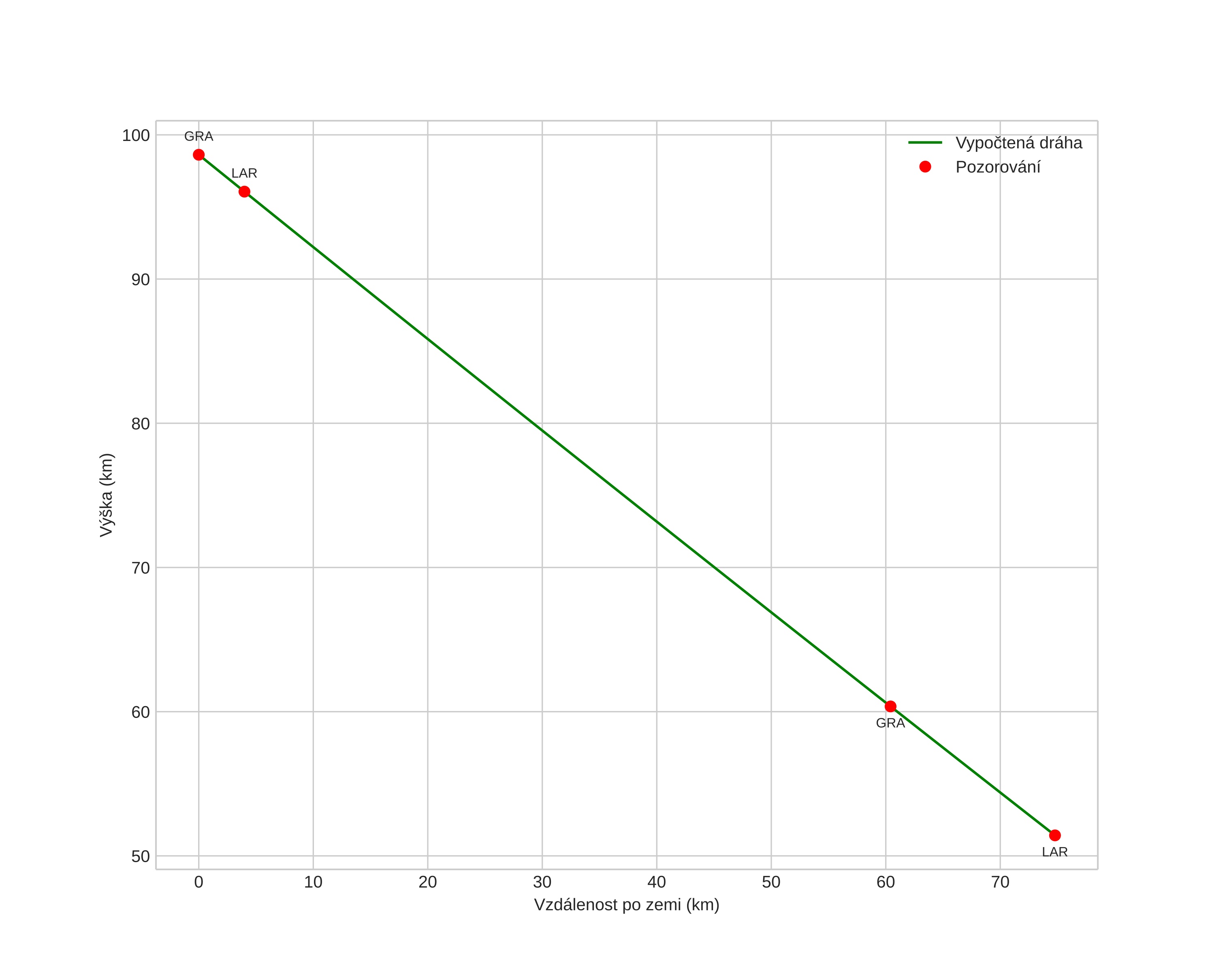
height profile
Atmosférická dráha meteoru:
Počáteční výška: 94,1 km
Konečná výška: 51,1 km
Počáteční poloha: 59,755N 10,593E
Konečná poloha: 60,355N 11,126E
Směr: 23,7°
Sklon: 30,5°
VstupnĂ­ rychlost: 34,6 km/s
Rektascenze radiantu: 23:59 (359,9°)
Deklinace radiantu: 0,5°
MeteorickĂ˝ roj: sporadickĂ˝
Elementy dráhy meteoroidu:
Vzdálenost v periheliu: 0,243 AU
Excentricita: 0,907
Sklon dráhy: 0,8°
Délka vzestupného uzlu: 163,4°
Argument perihelia: 306,5°
Střední anomálie: 350,8°
Epocha: 2021 SEP 06 01:41:06
orbit plot

NeinteraktivnĂ­ graf | InteraktivnĂ­ graf

position vs time
speed and acceleration