🇳🇴 🇬🇧 🇩🇪 🇨🇿 🇫🇮

Meteor, poloha: Valle 2021-09-08 01:05:39 UTC

Soubor KML  |  InteraktivnĂ­ mapa

Mapa zobrazuje dráhy meteoru. Světlejší čáry ukazují směry od pozorovacích stanic při objevení se meteoru a tmavší čáry, kde byl naposledy viděn. Modrá šipka značí viditelnou dráhu meteoru.

static map
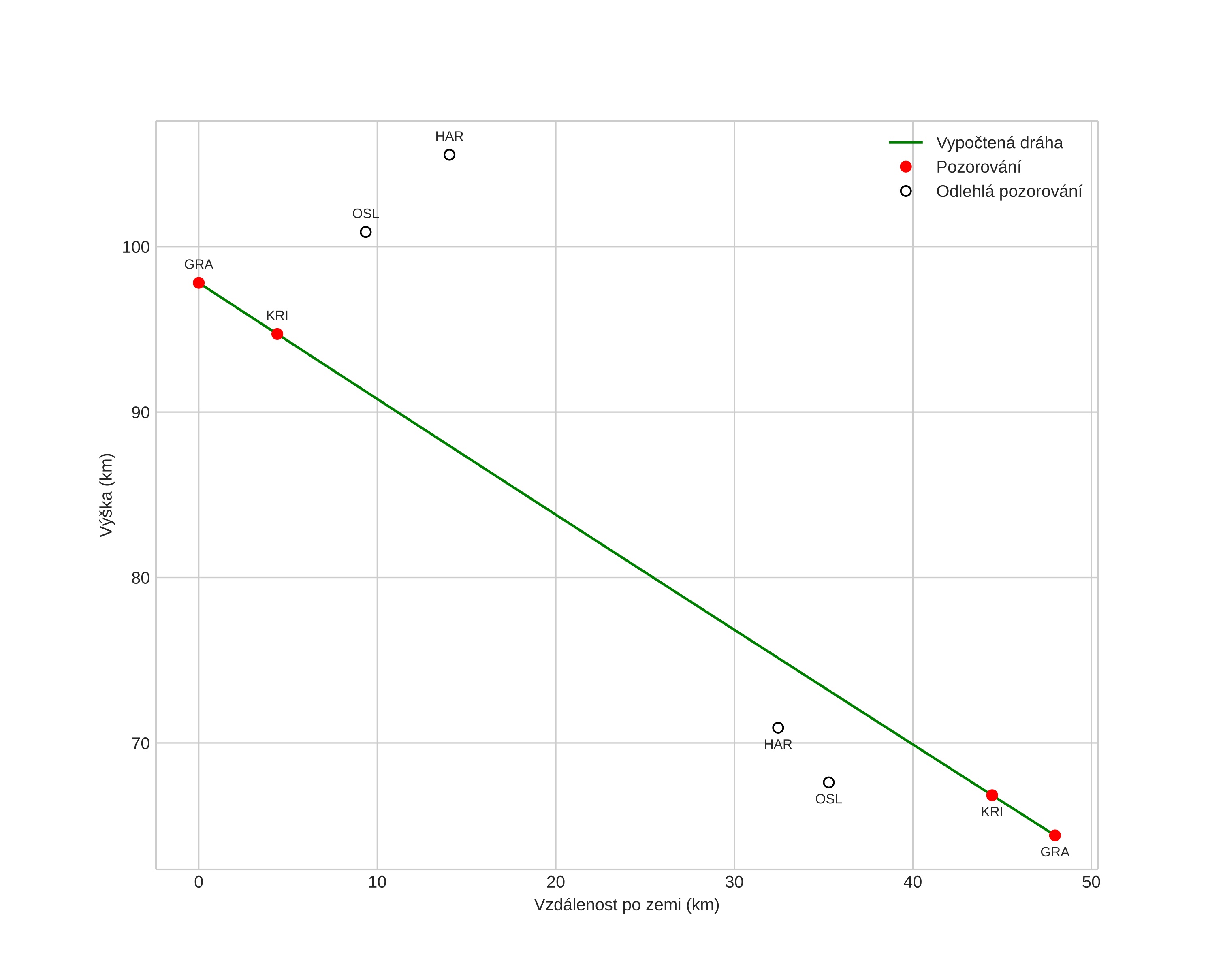
height profile
Atmosférická dráha meteoru:
Počáteční výška: 97,7 km
Konečná výška: 64,0 km
Počáteční poloha: 59,800N 8,231E
Konečná poloha: 59,480N 7,660E
Směr: 222,3°
Sklon: 35,1°
VstupnĂ­ rychlost: 60,6 km/s
Rektascenze radiantu: 08:19 (124,9°)
Deklinace radiantu: 53,1°
MeteorickĂ˝ roj: sporadickĂ˝
Elementy dráhy meteoroidu:
Vzdálenost v periheliu: 0,578 AU
Excentricita: 1,198
Sklon dráhy: 106,6°
Délka vzestupného uzlu: 165,3°
Argument perihelia: 102,5°
Střední anomálie: 6,9°
Epocha: 2021 SEP 08 01:05:39
orbit plot

NeinteraktivnĂ­ graf | InteraktivnĂ­ graf

position vs time
speed and acceleration