🇳🇴 🇬🇧 🇩🇪 🇨🇿 🇫🇮

Meteor über Kil 2021-09-08 22:03:33 UTC

KML-Datei  |  Interaktive Karte

Die Karte zeigt die Peilungen für den Meteor. Die helleren Linien zeigen die Richtungen von den Beobachtungsorten beim Erscheinen des Meteors, und die dunkleren Linien, wo er zuletzt gesehen wurde. Der blaue Pfeil zeigt die sichtbare Bahn des Meteors.

static map
height profile
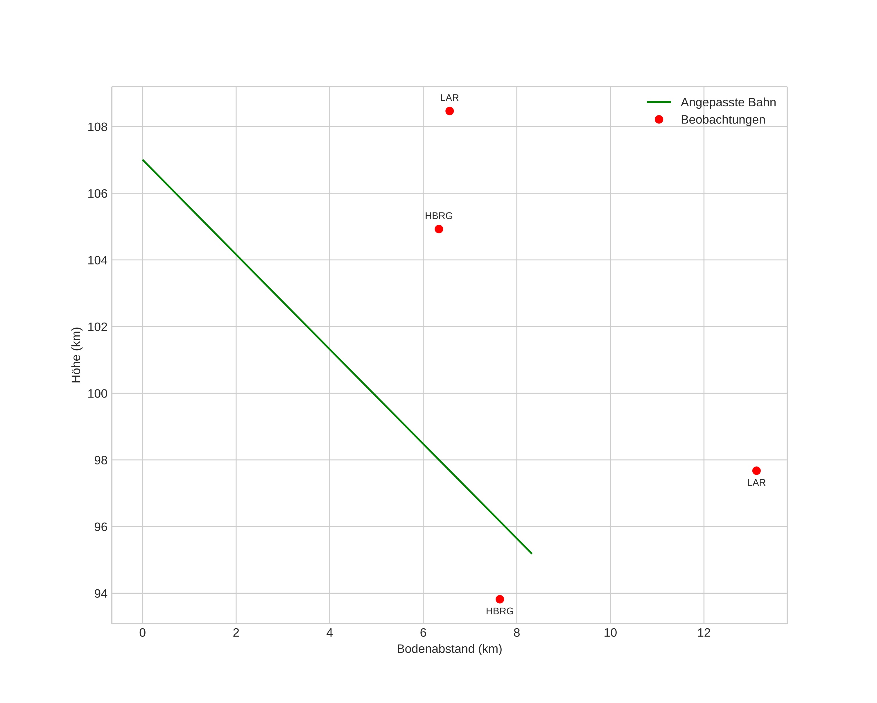
Atmosphärische Bahn des Meteors:
Anfangshöhe: 107,0 km
Endhöhe: 95,0 km
Startposition: 59,616N 13,296E
Endposition: 59,615N 13,140E
Richtung: 269,1°
Neigungswinkel: 54,0°
Eintrittsgeschwindigkeit: 33,2 km/s
Rektaszension des Radianten: 01:53 (28,3°)
Deklination des Radianten: 43,9°
Meteorstrom: sporadisch
Bahnelemente des Meteoroiden:
Periheldistanz: 0,193 AU
Exzentrizität: 0,731
Inklination: 65,6°
Länge des aufsteigenden Knotens: 166,2°
Argument des Perihels: 336,1°
Mittlere Anomalie: 271,4°
Epoche: 2021 SEP 08 22:03:33
orbit plot

Nicht-interaktives Diagramm | Interaktives Diagramm

position vs time
speed and acceleration