🇳🇴 🇬🇧 🇩🇪 🇨🇿 🇫🇮

Meteor, poloha: Finnsnes 2021-09-10 01:49:08 UTC

Soubor KML  |  InteraktivnĂ­ mapa

Mapa zobrazuje dráhy meteoru. Světlejší čáry ukazují směry od pozorovacích stanic při objevení se meteoru a tmavší čáry, kde byl naposledy viděn. Modrá šipka značí viditelnou dráhu meteoru.

static map
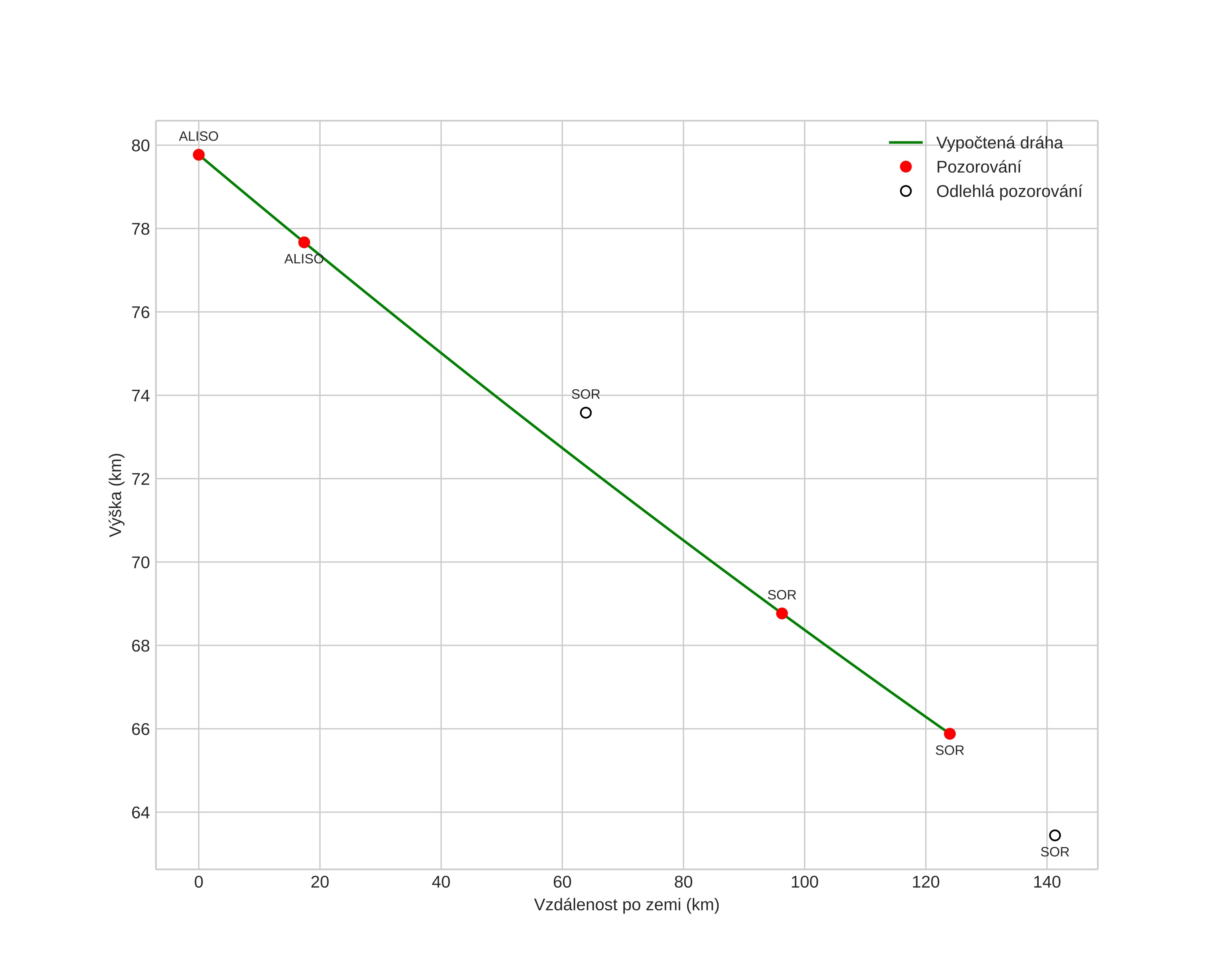
height profile
Atmosférická dráha meteoru:
Počáteční výška: 81,2 km
Konečná výška: 62,2 km
Počáteční poloha: 68,726N 19,643E
Konečná poloha: 69,647N 18,090E
Směr: 329,8°
Sklon: 9,0°
VstupnĂ­ rychlost: 48,0 km/s
Rektascenze radiantu: 04:24 (66,2°)
Deklinace radiantu: -10,8°
MeteorickĂ˝ roj: sporadickĂ˝
Elementy dráhy meteoroidu:
Vzdálenost v periheliu: 0,562 AU
Excentricita: 0,390
Sklon dráhy: 109,3°
Délka vzestupného uzlu: 347,3°
Argument perihelia: 124,9°
Střední anomálie: 278,2°
Epocha: 2021 SEP 10 01:49:08
orbit plot

NeinteraktivnĂ­ graf | InteraktivnĂ­ graf

position vs time
speed and acceleration