🇳🇴 🇬🇧 🇩🇪 🇨🇿 🇫🇮

Meteor, poloha: Myre 2021-09-11 22:38:16 UTC

Soubor KML  |  InteraktivnĂ­ mapa

Mapa zobrazuje dráhy meteoru. Světlejší čáry ukazují směry od pozorovacích stanic při objevení se meteoru a tmavší čáry, kde byl naposledy viděn. Modrá šipka značí viditelnou dráhu meteoru.

static map
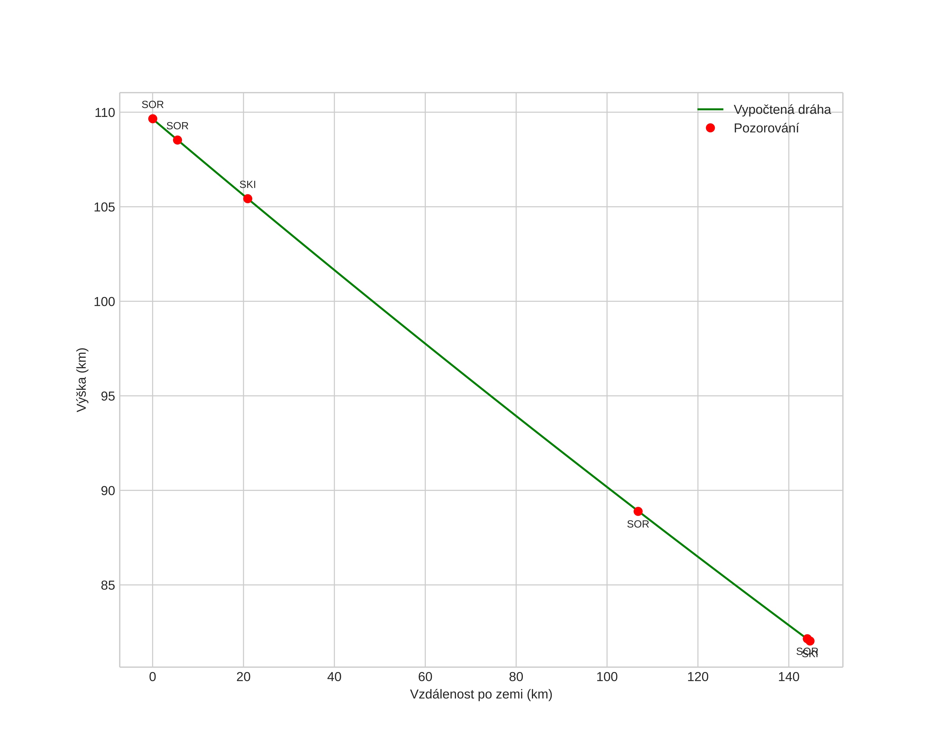
height profile
Atmosférická dráha meteoru:
Počáteční výška: 113,3 km
Konečná výška: 81,3 km
Počáteční poloha: 68,740N 18,816E
Konečná poloha: 69,341N 14,876E
Směr: 294,9°
Sklon: 10,6°
VstupnĂ­ rychlost: 63,8 km/s
Rektascenze radiantu: 03:29 (52,4°)
Deklinace radiantu: 0,5°
MeteorickĂ˝ roj: sporadickĂ˝
Elementy dráhy meteoroidu:
Vzdálenost v periheliu: 0,506 AU
Excentricita: 0,990
Sklon dráhy: 139,5°
Délka vzestupného uzlu: 349,1°
Argument perihelia: 90,0°
Střední anomálie: 359,9°
Epocha: 2021 SEP 11 22:38:16
orbit plot

NeinteraktivnĂ­ graf | InteraktivnĂ­ graf

position vs time
speed and acceleration