🇳🇴 🇬🇧 🇩🇪 🇨🇿 🇫🇮

Meteor, poloha: Filipstad 2021-09-14 00:47:17 UTC

Soubor KML  |  InteraktivnĂ­ mapa

Mapa zobrazuje dráhy meteoru. Světlejší čáry ukazují směry od pozorovacích stanic při objevení se meteoru a tmavší čáry, kde byl naposledy viděn. Modrá šipka značí viditelnou dráhu meteoru.

static map
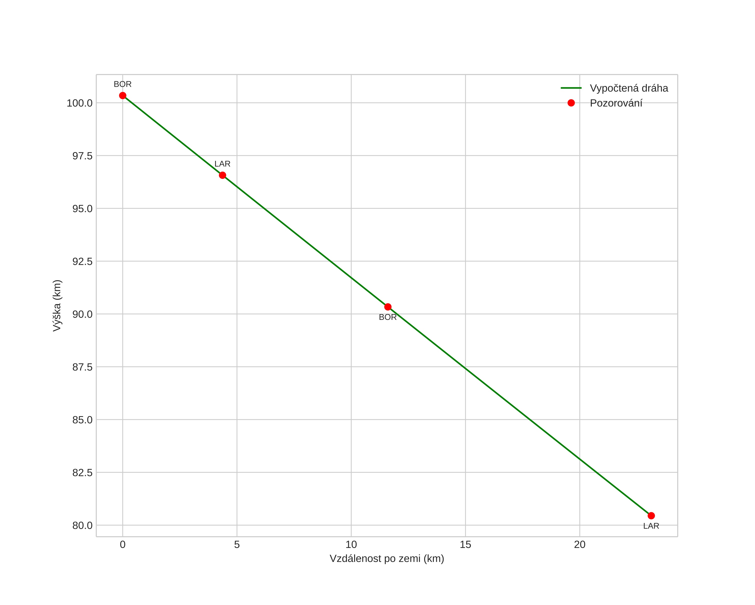
height profile
Atmosférická dráha meteoru:
Počáteční výška: 100,8 km
Konečná výška: 79,8 km
Počáteční poloha: 60,198N 14,452E
Konečná poloha: 60,071N 14,091E
Směr: 234,8°
Sklon: 40,6°
VstupnĂ­ rychlost: 71,5 km/s
Rektascenze radiantu: 07:37 (114,4°)
Deklinace radiantu: 51,4°
MeteorickĂ˝ roj: sporadickĂ˝
Elementy dráhy meteoroidu:
Vzdálenost v periheliu: 0,783 AU
Excentricita: 1,694
Sklon dráhy: 126,4°
Délka vzestupného uzlu: 171,1°
Argument perihelia: 130,3°
Střední anomálie: 20,8°
Epocha: 2021 SEP 14 00:47:17
orbit plot

NeinteraktivnĂ­ graf | InteraktivnĂ­ graf

position vs time
speed and acceleration