🇳🇴 🇬🇧 🇩🇪 🇨🇿 🇫🇮

Meteor, poloha: Storslett 2021-09-15 19:04:57 UTC

Soubor KML  |  InteraktivnĂ­ mapa

Mapa zobrazuje dráhy meteoru. Světlejší čáry ukazují směry od pozorovacích stanic při objevení se meteoru a tmavší čáry, kde byl naposledy viděn. Modrá šipka značí viditelnou dráhu meteoru.

static map
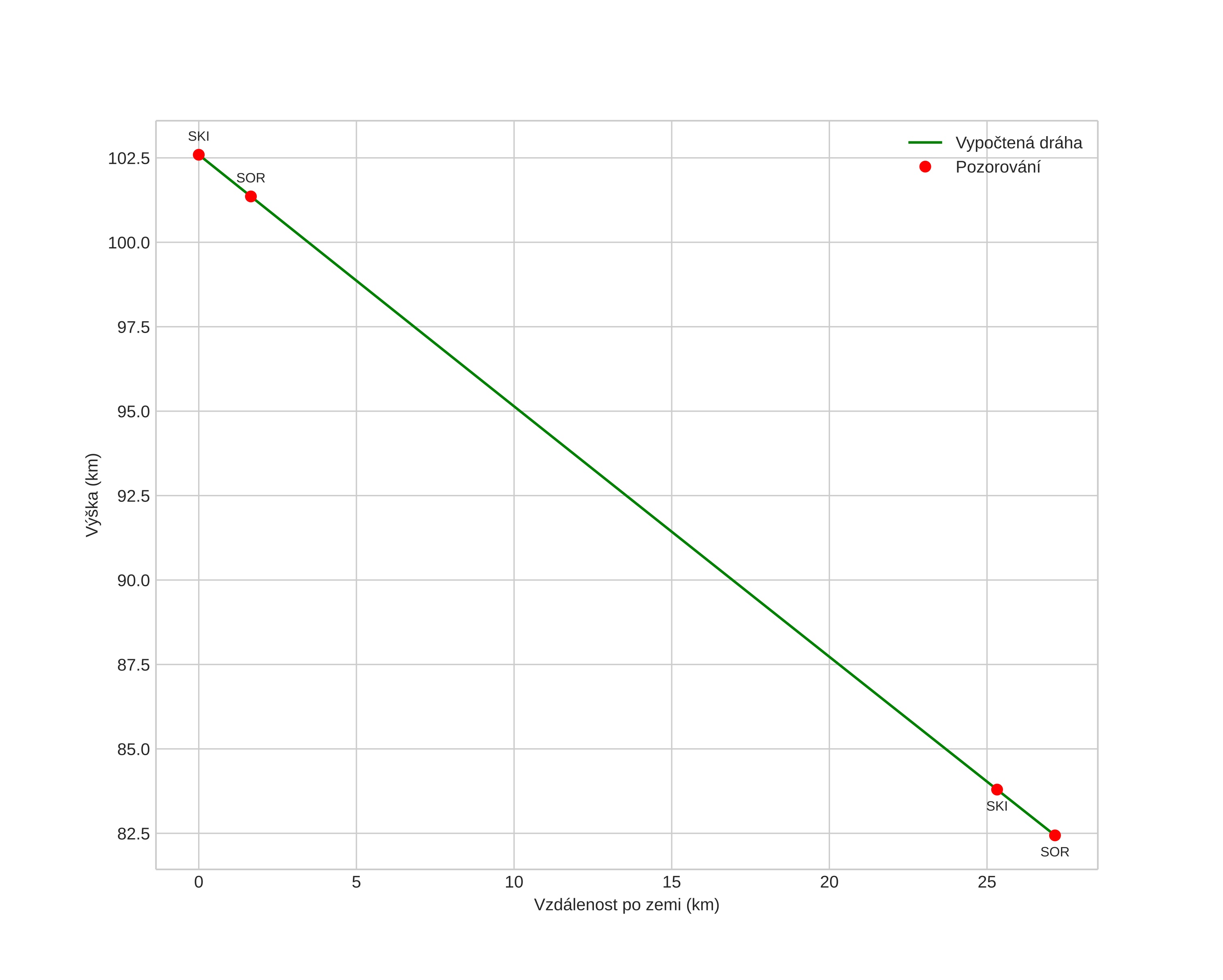
height profile
Atmosférická dráha meteoru:
Počáteční výška: 105,4 km
Konečná výška: 82,5 km
Počáteční poloha: 69,440N 20,466E
Konečná poloha: 69,229N 20,980E
Směr: 139,1°
Sklon: 36,5°
VstupnĂ­ rychlost: 40,8 km/s
Rektascenze radiantu: 11:46 (176,7°)
Deklinace radiantu: 49,4°
MeteorickĂ˝ roj: sporadickĂ˝
Elementy dráhy meteoroidu:
Vzdálenost v periheliu: 0,620 AU
Excentricita: 1,031
Sklon dráhy: 53,7°
Délka vzestupného uzlu: 172,9°
Argument perihelia: 104,1°
Střední anomálie: 0,4°
Epocha: 2021 SEP 15 19:04:57
orbit plot

NeinteraktivnĂ­ graf | InteraktivnĂ­ graf

position vs time
speed and acceleration