🇳🇴 🇬🇧 🇩🇪 🇨🇿 🇫🇮

Meteor, poloha: Rollag 2021-10-11 20:41:07 UTC

Soubor KML  |  InteraktivnĂ­ mapa

Mapa zobrazuje dráhy meteoru. Světlejší čáry ukazují směry od pozorovacích stanic při objevení se meteoru a tmavší čáry, kde byl naposledy viděn. Modrá šipka značí viditelnou dráhu meteoru.

static map
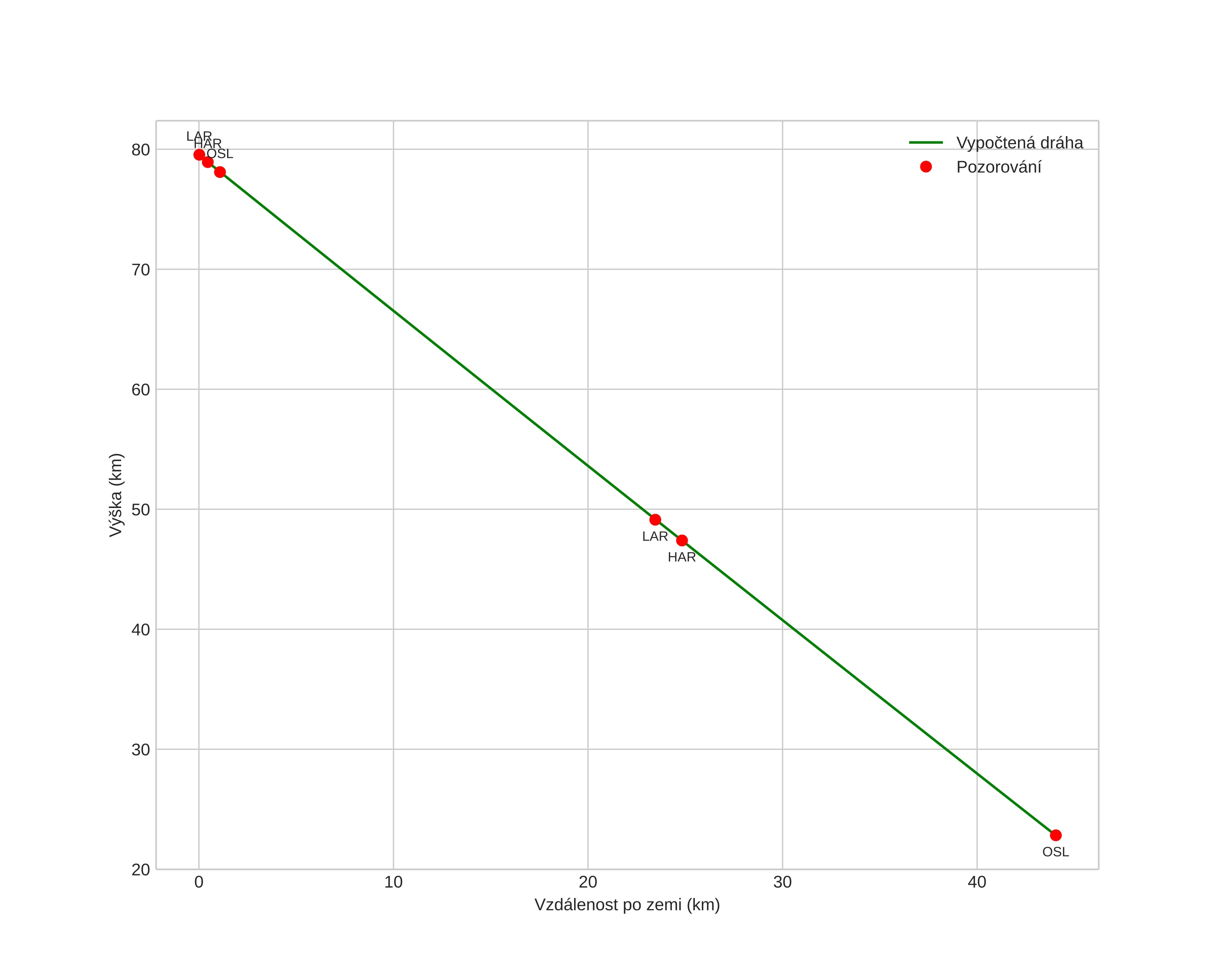
height profile
Atmosférická dráha meteoru:
Počáteční výška: 81,6 km
Konečná výška: 48,8 km
Počáteční poloha: 59,900N 8,677E
Konečná poloha: 59,961N 9,115E
Směr: 74,2°
Sklon: 52,3°
VstupnĂ­ rychlost: 15,7 km/s
Rektascenze radiantu: 19:06 (286,6°)
Deklinace radiantu: 31,0°
MeteorickĂ˝ roj: sporadickĂ˝
Elementy dráhy meteoroidu:
Vzdálenost v periheliu: 0,997 AU
Excentricita: 0,601
Sklon dráhy: 13,9°
Délka vzestupného uzlu: 198,5°
Argument perihelia: 184,8°
Střední anomálie: 359,1°
Epocha: 2021 OCT 11 20:41:07
orbit plot

NeinteraktivnĂ­ graf | InteraktivnĂ­ graf

position vs time
speed and acceleration