🇳🇴 🇬🇧 🇩🇪 🇨🇿 🇫🇮

Meteor, poloha: Lillesand 2021-10-12 04:24:14 UTC

Soubor KML  |  InteraktivnĂ­ mapa

Mapa zobrazuje dráhy meteoru. Světlejší čáry ukazují směry od pozorovacích stanic při objevení se meteoru a tmavší čáry, kde byl naposledy viděn. Modrá šipka značí viditelnou dráhu meteoru.

static map
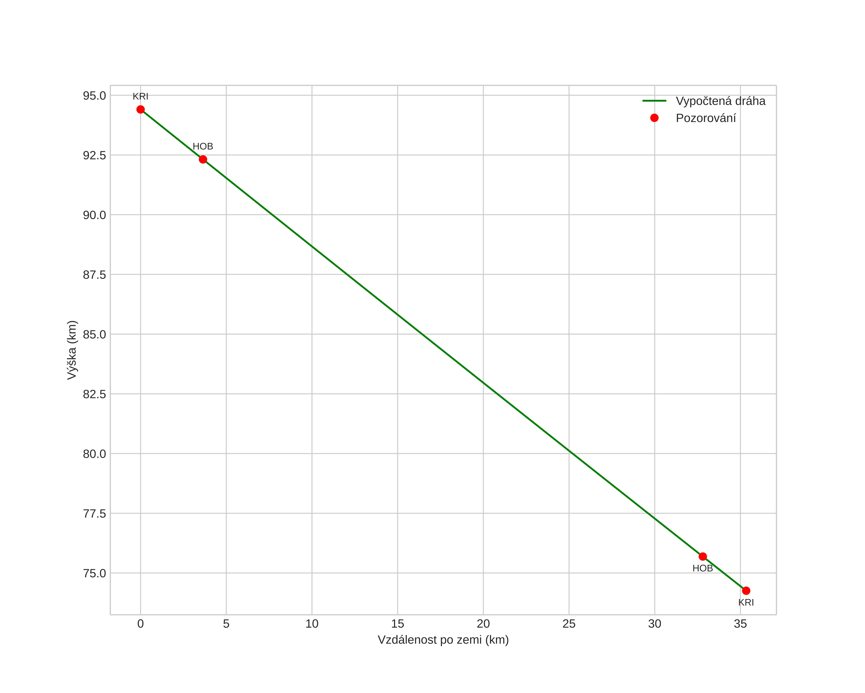
height profile
Atmosférická dráha meteoru:
Počáteční výška: 92,7 km
Konečná výška: 74,1 km
Počáteční poloha: 57,642N 8,171E
Konečná poloha: 57,756N 8,676E
Směr: 66,8°
Sklon: 29,7°
VstupnĂ­ rychlost: 33,7 km/s
Rektascenze radiantu: 02:33 (38,5°)
Deklinace radiantu: 11,8°
MeteorickĂ˝ roj: sporadickĂ˝
Elementy dráhy meteoroidu:
Vzdálenost v periheliu: 0,203 AU
Excentricita: 0,882
Sklon dráhy: 5,5°
Délka vzestupného uzlu: 18,8°
Argument perihelia: 134,5°
Střední anomálie: 342,7°
Epocha: 2021 OCT 12 04:24:14
orbit plot

NeinteraktivnĂ­ graf | InteraktivnĂ­ graf

position vs time
speed and acceleration