🇳🇴 🇬🇧 🇩🇪 🇨🇿 🇫🇮

Meteor, poloha: Moelv 2021-10-15 22:03:12 UTC

Soubor KML  |  InteraktivnĂ­ mapa

Mapa zobrazuje dráhy meteoru. Světlejší čáry ukazují směry od pozorovacích stanic při objevení se meteoru a tmavší čáry, kde byl naposledy viděn. Modrá šipka značí viditelnou dráhu meteoru.

static map
height profile
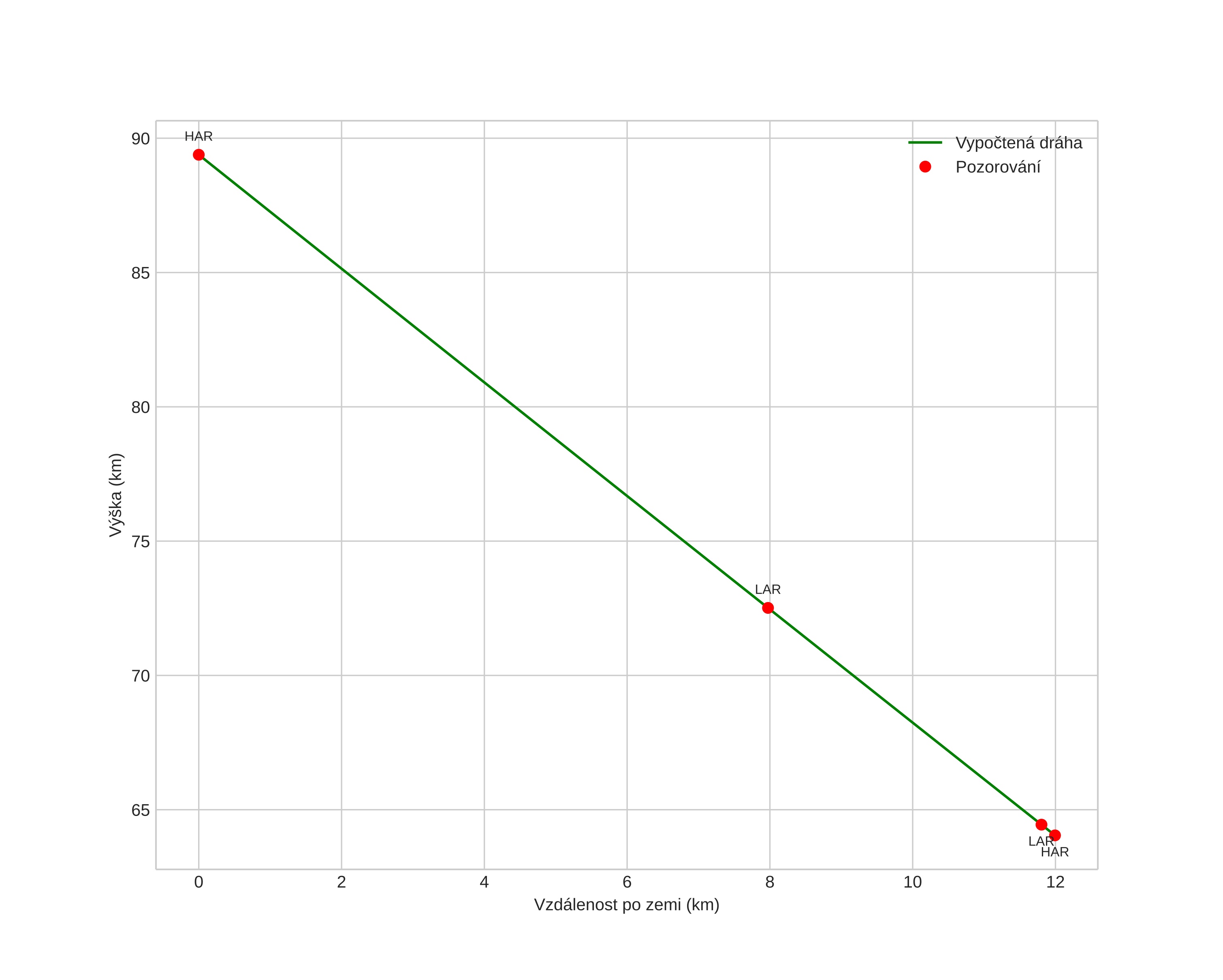
Atmosférická dráha meteoru:
Počáteční výška: 93,0 km
Konečná výška: 62,9 km
Počáteční poloha: 60,789N 10,762E
Konečná poloha: 60,890N 10,730E
Směr: 351,2°
Sklon: 69,4°
VstupnĂ­ rychlost: 27,6 km/s
Rektascenze radiantu: 00:37 (9,3°)
Deklinace radiantu: 39,1°
MeteorickĂ˝ roj: sporadickĂ˝
Elementy dráhy meteoroidu:
Vzdálenost v periheliu: 0,627 AU
Excentricita: 0,790
Sklon dráhy: 25,0°
Délka vzestupného uzlu: 202,5°
Argument perihelia: 260,8°
Střední anomálie: 351,9°
Epocha: 2021 OCT 15 22:03:12
orbit plot

NeinteraktivnĂ­ graf | InteraktivnĂ­ graf

position vs time
speed and acceleration